 Àü±â±â±â ¼³°è-Á÷·ù¿Í º¯¾Ð±â ¼³°è¸¦ Áß½ÉÀ¸·Î
Áö³´ÞºÎÅÍ ÀϺ»ÀÇ ´ÙÄ«ÇϽÃ(ÍÔÎéãôìÑ) ¹Ú»çÀÇ Àú¼¸¦ Æí¿ªÇÑ ¹èÁø¿ë °øÇйڻç°â º¯¸®»çÀÇ ¿¬À縦 ½ÃÀÛÇß´Ù. ÀÌ ±ÛÀº Å©°Ô ³× °³ÀÇ ÀåÀ¸·Î ±¸¼ºµÅ ÀÖÀ¸¸ç 1Àå¿¡¼´Â ¡ã±âÃÊÀû Áö½ÄÀ», 2Àå¿¡¼´Â ¡ãÁ÷·ù±âÀÇ ¼³°è, 3Àå¿¡¼´Â ¡ãº¯¾Ð±âÀÇ ¼³°è¿¡ °üÇÑ ÀÌ·Ð µîÀ» ³íÇÒ ¿¹Á¤ÀÌ´Ù. ¾Õ¼ ¹àÇûµíÀÌ ÀÌ ¿¬Àç´Â Àü±â°øÇÐÀ» °øºÎÇÏ´Â ÇлýÀ̳ª ½ÇÁúÀûÀ¸·Î Àü±â±â±â¸¦ ¼³°èÇϰí ÀÀ¿ëÇÏ´Â ½Ç¹« ±â¼úÀÚ°¡ Âü°íÇÒ ¼ö ÀÖ´Â ³»¿ëÀ¸·Î ÁøÇàµÇ°í ÀÖ´Ù. Áö³ È£¿¡¼´Â 1ÀåÀÇ ‘±âÃÊÀû Áö½Ä’À¸·Î Àü±â±â±âÀÇ °³³ä°ú ±× ¿ø¸®¿¡ ´ëÇØ ÁÖ·Î ´Ù·ç¾ú´Ù. À̹ø È£¿¡¼´Â Àڱ⠶Ǵ Àü±âȸ·ÎÀÇ Àç·á¿Í Àý¿¬Àç·á, Àü¼±ÇǺ¹ µî, ÀüÀÚ±âȸ·Î¸¦ ÀÌ·ç´Â Àç·áÀÇ Á¶°Ç°ú Ư¼º, ´Ù¾çÇÑ Àç·á°¡ Áö´Ñ ¹°¼º ȤÀº Àå´ÜÁ¡ µî¿¡ ´ëÇØ »ìÆìº¸¾Ò´Ù. <ÆíÁýºÎ>
1.8 ÀÚ±âȸ·ÎÀÇ Àç·á ÀÚ±âȸ·Î´Â ÀÚ¼ÓÀÌ Åë°úÇÏ´Â Åë·Î(±æ)À̸ç, Àü±â±â±â¿¡¼ ÀÚ¼ÓÀº ÇÑ ¹æÇâÀ¸·Î È帣´Â ´Ü¹æÇâ ÀÚ¼Ó°ú ¾ç¹æÇâÀ¸·Î È帣´Â ±³¹øÀÚ¼ÓÀÇ µÎ °¡Áö Á¾·ù·Î ±¸ºÐµÈ´Ù. Àü±â±â±â¿¡ È帣´Â ÀÚ¼ÓÀÇ ¹æÇâ¿¡ µû¶ó¼ ÀÚ±âȸ·ÎÀÇ ±¸¼º Àç·á°¡ º¯°æµÈ´Ù. Áï, ´Ü¹æÇâÀ¸·Î È帣´Â ÀÚ¼ÓÀÇ Åë·Î´Â Á÷·ù±â¿Í µ¿±â±âÀÇ °èö(Í©ôÑ, yoke), ÀÚ±Ø µîÀÌ ÀÖ´Ù. ÇÏÁö¸¸, Á÷·ù±âÀÇ Àü±âÀÚ Ã¶½É, µ¿±â±âÀÇ °íÁ¤ÀÚ Ã¶½É, À¯µµ±âÀÇ °íÁ¤ÀÚ ¹× ȸÀüÀÚ Ã¶½É, º¯¾Ð±âÀÇ Ã¶½É µîÀº ¾ç¹æÇâÀ¸·Î ÀÚ¼ÓÀÌ È帣´Â ºÎºÐÀ¸·Î ½Ã°£¿¡ µû¶ó ¹æÇâÀÌ º¯ÈÇÏ´Â ±³¹øÀÚ¼ÓÀÌ Åë°úÇÑ´Ù. ´Ü¹æÇâÀ¸·Î ÀÚ¼ÓÀÌ È帣´Â ÀÚ±âȸ·ÎÀÇ Àç·á·Î ÁÖö, ÁÖ° ¹× ¾Ð¿¬ÇÑ µÎ²¨¿î öÆÇ(°ÆÇ)ÀÌ »ç¿ëµÇ¸ç, ¾ç¹æÇâÀ¸·Î È帣´Â ±³¹øÀÚ¼ÓÀÇ °æ¿ì´Â ±Ô¼Ò°ÆÇÀ» ÀûÃþÇØ¼ »ç¿ëÇÏ´Â °ÍÀÌ ÀϹÝÀûÀ̰í, ´ëÇ¥ÀûÀÎ ÀÚ±âȸ·Î Àç·á ¹× ±× Ư¼ºÀº ´ÙÀ½°ú °°´Ù.
ÁÖö °ú°Å¿¡ Á÷·ù±âÀÇ °èö ¶Ç´Â ÀÚ±Ø µîÀ¸·Î »ç¿ëµÇ¾ú´Ù. ±× ÀÌÀ¯´Â ´Ù¸¥ Àç·á¿Í ºñ±³ÇÏ¿© °¡°ÝÀÌ ¸Å¿ì Àú·ÅÇϰí, ÁÖ° µî¿¡ ºñÇØ ÀçÁúÀÌ ¿¬ÇØ °¡°ø¼ºÀÌ ¿ëÀÌÇÏ´Ù. ÇÏÁö¸¸, ÇöÀç ÁÖöÀº [±×¸² 1]°ú °°ÀÌ BH °î¼±¿¡¼ Àڼӹеµ°¡ ³·¾Æ Æ÷È Æ¯¼ºÀÌ ³ª»Ú±â ¶§¹®¿¡, °ÅÀÇ »ç¿ëµÇÁö ¾Ê´Â´Ù. ÁÖöÀº ÁÖ°°ú ºñ±³ÇÏ¿© Àڼӹеµ(B)°¡ ¾à 1/2 ÀÌÇÏ·Î ³·±â ¶§¹®¿¡ ÁÖöÀ» »ç¿ëÇÏ´Â °æ¿ì, ÁÖ°°ú ºñ±³ÇÏ¿© ÀÚ±âȸ·Î ¸éÀûÀÇ ¾à 2¹è ÀÌ»óÀÌ µÇµµ·Ï ¼³°èÇÏ¿©¾ß ÇÑ´Ù. µû¶ó¼ ÇöÀç ÁÖöÀº ÀÚ±âȸ·ÎÀÇ Àç·á·Î °ÅÀÇ »ç¿ëµÇÁö ¾ÊÀ¸¸ç, °¼ºÀÌ Å©°Ô ¿ä±¸µÇÁö ¾Ê´Â Àü±â±â±âÀÇ ÇÁ·¹ÀÓÀ¸·Î ÀϺΠ»ç¿ëµÇ°í ÀÖ´Ù. ÁÖ° ÁÖö°ú ºñ±³ÇÏ¿© Àڼӹеµ(B) ¹× ÅõÀÚÀ²( )ÀÌ ¿ì¼öÇÏ¿© Á÷·ù±â¿Í µ¿±â±âÀÇ °èö µî¿¡ »ç¿ëµÈ´Ù. ƯÈ÷ ÁÖ°Àº µ¿±â±âÀÇ È¸ÀüÀÚ ½ºÆÄÀÌ´õ(spider), ¼ÒÇü Àüµ¿±âÀÇ °èöºÎºÐ¿¡ ÀÚ±âȸ·Î·Î »ç¿ëÇÏ´Â °æ¿ìµµ ÀÖ´Ù. ÇÏÁö¸¸, ÃÖ±Ù¿¡´Â ÁÖ° º¸´Ù´Â ´õ¿í Àڼӹеµ(B) ¹× ÅõÀÚÀ²(μ)ÀÌ ¿ì¼öÇÑ ±Ô¼Ò°ÆÇÀÌ ´õ¿í ¸¹ÀÌ ÀÌ¿ëµÇ´Â Ãß¼¼ÀÌ´Ù.
´ÜÁ¶° ¹× ¾Ð¿¬°ÆÇ ±â°èÀû Ư¼ºÀÌ ¸Å¿ì ¿ì¼öÇϱ⿡ ÀÚ±âȸ·Î Àç·á·Î ÁÖ°°ú ÇÔ²² »ç¿ëµÈ´Ù. ƯÈ÷ ´ÜÁ¶°Àº ±â°èÀû °µµ¸¦ ¿ä±¸ÇÏ´Â Ãà, ȸÀüÀÚ ½ºÆÄÀÌ´õ µî¿¡ »ç¿ëµÇ¸ç, ±â°èÀûÀ¸·Î ÇöÀúÇÑ °µµ°¡ ¿ä±¸µÇÁö ¾ÊÀ¸¸ç, ÀÚ±âÀû Ư¼º¸¸ ÀÌ¿ëÇÏ´Â °æ¿ì, ´ÜÁ¶° ¹× ¾Ð¿¬°ÆÇº¸´Ù ÁÖ°À» »ç¿ëÇÏ´Â °ÍÀÌ ´õ¿í ¹Ù¶÷Á÷ÇÏ´Ù. ÀϹÝÀûÀ¸·Î ´ÜÁ¶°Àº Åͺó ¹ßÀü±âÀÇ È¸ÀüÀÚ Á¦ÀÛ¿¡ »ç¿ëµÇ¸ç, ÃÖ±Ù Àü±â ¿ëÁ¢±â¼úÀÇ ¹ß´Þ·Î ´õ¿í ³Î¸® ÀÌ¿ëµÇ´Â Çö½ÇÀÌ´Ù. ¾Ð¿¬°ÆÇÀº Á÷·ù±âÀÇ °èö ¹× µ¿±â±â¿Í À¯µµ±âÀÇ °íÁ¤ÀÚ ¹× ȸÀüÀÚÀÇ Á¦ÀÛ¿¡ »ç¿ëµÇ¸ç, ±â°èÀûÀΠƯ¼ºµµ ´ÜÁ¶°°ú °ÅÀÇ À¯»çÇѰµµ¸¦ Áö´Ï±â ¶§¹®¿¡ ´ÜÁ¶° ´ë¿ëÀ¸·Î »ç¿ëµÇ°í ÀÖÀ¸¸ç, 1.6mm Á¤µµÀÇ ¾Ð¿¬°ÆÇÀÌ ÇöÀç °¡Àå ³Î¸® ÀÌ¿ëµÇ°í ÀÖ´Ù.
±Ô¼Ò°ÆÇ ÇöÀç ÀÚ±âȸ·ÎÀÇ Àç·á·Î °¡Àå ³Î¸® »ç¿ëÇÏ´Â Àç·á°¡ ±Ô¼Ò°ÆÇÀÌ´Ù. ƯÈ÷, ±Ô¼Ò°ÆÇÀº ±³¹øÀÚ¼ÓÀÌ Åë°úÇÏ´Â ºÎºÐ¿¡ ÁÖ·Î »ç¿ëµÇ¸ç, Á÷·ù±âÀÇ Àü±âÀÚ Ã¶½É, µ¿±â±âÀÇ °íÁ¤ÀÚ Ã¶½É, À¯µµ±âÀÇ °íÁ¤ÀÚ ¹× ȸÀüÀÚ Ã¶½É, º¯¾Ð±âÀÇ Ã¶½É µî¿¡ »ç¿ëµÈ´Ù. ±Ô¼Ò°ÆÇÀÇ µÎ²²´Â 0.35mm°¡ ÀϹÝÀûÀ¸·Î »ç¿ëµÇÁö¸¸, Á֯ļö ¹× Àڼӹеµ¸¦ °í·ÁÇÏ¿© 0.5mm ¶Ç´Â 0.7mm¸¦ Àü±â±â±âÀÇ ÀÚ±âȸ·Î¿¡ »ç¿ëÇϱ⵵ ÇÑ´Ù. ±Ô¼Ò°ÆÇÀº ±× À̸§¿¡¼µµ ¾Ë ¼ö ÀÖ´Â °Í°ú °°ÀÌ ±Ô¼Ò¸¦ ÇÔÀ¯Çϰí Àֱ⠶§¹®¿¡ º¸ÅëÀÇ Ã¶ÆÇº¸´Ù ö¼ÕÀÌ ´ë´ÜÈ÷ ÀÛÀº ÀåÁ¡ÀÌ ÀÖ´Ù. ±Ô¼Ò°ÆÇÀº Å©°Ô ³ª´©¾î (1)¿°£ ¾Ð¿¬ ±Ô¼Ò°ÆÇ, (2)³Ã°£ ¾Ð¿¬ ±Ô¼Ò °´ë, (3)¹æÇ⼺ ±Ô¼Ò°´ë·Î ³ª´ ¼ö ÀÖÀ¸¸ç, ¿°£ ¾Ð¿¬ ±Ô¼Ò°ÆÇÀº 76×183cm, 76×305cm ¶Ç´Â 91.5×183cm Å©±â·Î ÀϹÝÀûÀ¸·Î ±Ô°ÝÈÇÏ¿© Á¦À۵ǰí ÀÖ´Ù. ¿°£ ¾Ð¿¬ ±Ô¼Ò°ÆÇÀÇ Æ¯¼ºÀ» [Ç¥ 1]¿¡ ³ªÅ¸³»¾úÀ¸¸ç BH °î¼±Àº [±×¸² 1]¿¡ ³ªÅ¸³»¾ú´Ù. ³Ã°£ ¾Ð¿¬ ±Ô¼Ò°´ë ¹× ¹æÇ⼺ ±Ô¼Ò°´ë´Â ¶ì¸ð¾ç, ÄÚÀÏ ¸ð¾çÀ¸·Î °¨¾Æ¼ °ø±ÞÇÑ´Ù. [Ç¥ 1]´Â ȸÀü±â±â ¹× º¯¾Ð±â¿¡ ÁÖ·Î »ç¿ëµÇ´Â ¿°£ ¾Ð¿¬ ±Ô¼Ò°ÆÇÀ» ³ªÅ¸³»¸ç, [Ç¥ 1]¿¡ ³ªÅ¸³½ S23F, S18 µîÀº ´ëºÎºÐ º¯¾Ð±â º¸´Ù ȸÀü±â±â¿¡ ÁÖ·Î »ç¿ëµÈ´Ù.
±×·¯³ª S23F, S18 µî ƯÁ¤ ¿°£ ¾Ð¿¬ ±Ô¼Ò°ÆÇÀ» ¹Ýµå½Ã ƯÁ¤ ¿ëµµ·Î¸¸ ÇÑÁ¤ÇÒ ¼ö ¾øÀ¸¸ç, ö¼ÕÀÇ Çã¿ëÇѵµ¸¦ °í·ÁÇÏ¿© ´Ù¾çÇÑ Àü·Â±â±â¿¡ »ç¿ëÇÒ ¼ö ÀÖ´Ù. ÀϹÝÀûÀ¸·Î ±Ô¼Ò°ÆÇ¿¡¼ ±Ô¼ÒÀÇ ÇÔ·®ÀÌ Áõ°¡ÇÒ¼ö·Ï ö¼ÕÀÌ °¨¼ÒÇϸç, ±Ô¼ÒÀÇ ÇÔ·®¿¡ µû¶ó ±Ô¼Ò°ÆÇÀÇ °µµ°¡ °áÁ¤µÈ´Ù. µû¶ó¼ ö¼ÕÀÌ ÀûÀº °ÆÇÀº ±Ý¼ÓÀÇ °µµ°¡ ³ô±â ¶§¹®¿¡ ȸÀü±â±â¿¡ »ç¿ëÇÏ´Â °æ¿ì ÄÚ¾î Ÿ¹ß ÀÛ¾÷ÀÌ ¾î·Á¿öÁö±â¿¡, ö¼ÕÀ» ÁÙÀÌ´Â ÀÛ¾÷À» ÇÏ°í ³ÈÄ¿¡ »ç¿ëÇØ¾ß ÇÑ´Ù. ±Ô¼Ò°ÆÇÀº º¸Åë ¹Ù´Ï½Ã(Varnish) ÄÚÆÃ³ë¿¡ ³Ö¾î¼ °ÇÁ¶½ÃÄѼ, ÀÚ±âÀûÀ¸·Î Àý¿¬À» ÇÑ´Ù. µû¶ó¼ ¹Ù´Ï½Ã ÄÚÆÃÇÑ ±Ô¼Ò°ÆÇÀº ö½ÉÀ» ÀûÃþÇßÀ» ¶§, ¿ÍÀü·ù¼ÕÀ» ÁÙÀÏ ¼ö°¡ ÀÖ´Ù. º¯¾Ð±âÀÇ Ã¶½ÉÀ¸·Î´Â ¹æÇ⼺ ö½ÉÀÌ ¸¹ÀÌ »ç¿ëµÇ¸ç, ÀÌ¿¡ ´ëÇØ¼´Â Á¦3Àå¿¡¼ º¸´Ù ÀÚ¼¼ÇÏ°Ô ¼³¸íÇϱâ·Î ÇÑ´Ù. 1.9 Àü±âȸ·ÎÀÇ Àç·á ÀϹÝÀûÀ¸·Î Àü±âȸ·Î¿¡ °¡Àå ¸¹ÀÌ »ç¿ëµÇ´Â Àç·á´Â µ¿(Cu)À̰í, µ¿ ´ÙÀ½À¸·Î ¸¹ÀÌ »ç¿ëµÇ´Â Àç·á´Â ¾Ë·ç¹Ì´½(Al)À̶ó ÇÒ ¼ö ÀÖÀ¸³ª ¾Ë·ç¹Ì´½(Al)Àº Á¦1Â÷ ¼¼°è´ë Àü Áß µ¶ÀÏ, Á¦2Â÷ ¼¼°è´ëÀü Áß µ¶ÀÏ, ÀϺ» µî¿¡¼ µ¿(Cu) ´ë¿ëǰÀ¸·Î Àü±â±â±â¿¡ »ç¿ëÇÏ·Á°í ¿¬±¸ÇßÁö¸¸ ÇöÀç ¾Ë·ç¹Ì´½(Al)Àº Àü±â±â±â¿¡¼ Àü±âȸ·ÎÀÇ Àç·á·Î°ÅÀÇ »ç¿ëÇÏÁö ¾ÊÀ¸¸ç, ³óÇüÀ¯µµ Àüµ¿±â¿¡¼ 2Â÷ ±Ç¼±À¸·Î´Â µ¿(Cu) ´ë½Å ¾Ë·ç¹Ì´½(Al) ÁÖÁ¶Ç°ÀÌ ÀϺΠ»ç¿ëµÇ°í ÀÖ´Ù.
µ¿(Cu)ÀÇ ÀúÇ×Àº ±¹Á¦ÀûÀ¸·Î °áÁ¤µÇ¾úÀ¸¸ç, ¼ÒµÐ(áÀÔï, annealing)ÇÑ µ¿ÀÇ ÀúÇ×À» Ç¥ÁØÀ¸·Î Çϰí ÀÖ´Ù. Ç¥ÁØ¿¡ ÀÇÇÏ¸é ±æÀÌ 1m, 1mm2ÀÇ ´Ü¸éÀûÀ» Áö´Ñ µ¿¼±Àº20°C¿¡¼ ±× ÀúÇ×Àº 0.017241À¸·Î 0.017241Ω¡Ö1/58ΩÀÌ´Ù. ºÐ¼öÀÇ °ª 1/58ÀÌ ¿Ü¿ì±â ½¬¿ì¹Ç·Î Á¾Á¾ »ç¿ëµÈ´Ù. ¶ÇÇÑ 20°C¿¡¼ Ç¥ÁØ¿¬µ¿ÀÇ ºñÁßÀº 8.89À̸ç, µ¿ÀÇ ÀúÇ× ¿Âµµ°è¼ö α=1/234.5+t·Î Ç¥½ÃµÇ°í, t´Â ÃøÁ¤ ½ÃÀÇ ¿ÂµµÀÌ´Ù. t°C¿¡¼ ÃøÁ¤ÇÑ ÀúÇ×À» Rt¶ó Çϸé T°C¿¡¼ ÀúÇ× RtÀº ½Ä (1.10)°ú °°´Ù.
¾Ë·ç¹Ì´½ÀÇ ÀúÇ×Àº µ¿ÀÇ ¾à 1.6¹èÀÌ´Ù. ¾Ë·ç¹Ì´½Àº ¼øµµ¿¡ µû¶ó ÀúÇ×°ªÀÌ »ó´çÈ÷ º¯µ¿µÇ±â ¶§¹®¿¡ ¼øµµ¸¦ ´Ù¼Ò ¶³¾î¶ß·Á ÀúÇ×°ªÀ» ¾à 2¹è·Î ÇÏ¿© Àü±â±â°è¿¡ »ç¿ëÇÑ´Ù. ¾Ë·ç¹Ì´½ÀÇ ºñÁßÀº 20°C¿¡¼ 2.70ÀÌ°í µ¿¿¡ ºñÇØ¼ »ó´çÈ÷ °¡º¿ì¹Ç·Î Àü±â±â±âÀÇ Áß·®À» °¨¼ÒÇϱâ À§Çؼ ¾Ë·ç¹Ì´½À» µµÃ¼¿¡ »ç¿ëÇÏ´Â °ÍÀÌ ¹Ù¶÷Á÷ÇÏÁö¸¸ ¾Ë·ç¹Ì´½À» »ç¿ëÇÏ´Â °æ¿ì µ¿°ú °°ÀÌ ¿ëÁ¢ÀÌ °£´ÜÇÏ°Ô µÇÁö ¾Ê´Â ¹®Á¦Á¡ÀÌ ÀÖÀ¸¸ç, ºÎ½ÄÀÇ ¿ì·Á¼ºÀÌ ÀÖÀ¸¹Ç·Î µµÃ¼·Î¼´Â Ưº°ÇÑ °æ¿ì¸¦ Á¦¿ÜÇÏ°í °ÅÀÇ »ç¿ëÇÏÁö ¾Ê´Â´Ù.
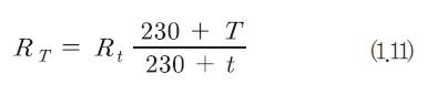
¾Ë·ç¹Ì´½ÀÇ °æ¿ìµµ µ¿°ú °°ÀÌ t°CÀÇ ÀúÇ×À» Rt¶ó Çϰí, T°CÀÇ ÀúÇ×À» RT¶ó°í Çϸé, ÀúÇ× RT´Â ½Ä (1.11)°ú °°ÀÌ ³ªÅ¸³¾ ¼ö ÀÖ´Ù.
1.10 Àý¿¬Àç·á Àü±â±â±â¿¡ ÀÖ¾î¼ ±Ç¼±ÀÇ Ãþ°£ ¶Ç´Â µµÃ¼¸¦ ´ëÁö·ÎºÎÅÍ Àý¿¬Çϱâ À§ÇÏ¿© Àý¿¬Àç·á¸¦ »ç¿ëÇϸç, ¾çÈ£ÇÑ Àý¿¬Àç·á´Â ¾Æ·¡¿Í °°Àº Á¶°ÇÀ» ¸¸Á·ÇÏ¿©¾ß ÇÑ´Ù.
(1) ¿îÀü Áß ³ôÀº ¿ÀÌ ¹ß»ý½Ã Àý¿¬³»·ÂÀ» ÃæºÐÈ÷ À¯ÁöÇÒ °Í (2) ¿îÀü Áß¿¡ Àý¿¬ÀúÇ×ÀÌ ³ô°Ô À¯ÁöµÉ °Í (3) ¿îÀü Áß Áøµ¿, ¾Ð·Â, Àå·Â¿¡ ´ëÇÏ¿© ÃæºÐÈ÷ °ßµô ¼ö ÀÖÀ¸¸ç, Á¦ÀÛ Áß ±ÁÈûÀ̳ª ¸¶Âû¿¡ ´ëÇØ¼µµ ÃæºÐÈ÷ °ßµô °Í (4) ¿ÀÇ Àüµµ°¡ ¾çÈ£ÇÒ °Í (5) ¿îÀü Áß ³ôÀº ¿Âµµ°¡ µÇ¾îµµ ¹°¸®Àû, ÈÇÐÀû Ư¼ºÀÌ º¯ÇÏÁö ¾ÊÀ¸¸ç ¿Âµµ º¯È¿¡ ÀÇÇÑ ÆØÃ¢°è¼ö°¡ ö½É, µ¿¼±°ú ºñ±³Çؼ Å« Â÷À̰¡ ¾ø´Â °Í ÀÌ»óÀÌ Àý¿¬ Àç·á¿¡ ´ëÇÏ¿© ¿ä±¸µÇ´Â Ç׸ñÀÌÁö¸¸ Àü±â±â±â¿¡ »ç¿ëµÇ´Â Àý¿¬Àº ±× Àç·á¿¡ µû¶ó Y, A, E, B, F, H, C µî Àϰö Á¾·ù·Î µî±ÞÀ» ³ª´«´Ù. [Ç¥ 2]´Â °¢Á¾ Àý¿¬ÀÇ ÃÖ°í Çã¿ë¿Âµµ¸¦ ³ªÅ¸³½´Ù.
YÁ¾ Àý¿¬ ÃÖ°í Çã¿ë¿Âµµ 90¡É¿¡ ÃæºÐÈ÷ °ßµð´Â Àç·á·Î ±¸¼ºµÈ Àý¿¬À» ¸»ÇÑ´Ù. ¿¹¸¦ µé¸é ¸é, °ß, Á¾ÀÌ µîÀÇ Àç·á¸¦ »ç¿ëÇϰí, ¹Ù´Ï½º¸¦ ÇÔħÇÏÁö ¾Ê°Å³ª ±â¸§ Áß¿¡ ³ÖÁö ¾Ê´Â °ÍÀ» ¸»ÇÑ´Ù.
AÁ¾ Àý¿¬ ÃÖ°í Çã¿ë¿Âµµ 105¡É¿¡ ÃæºÐÈ÷ °ßµð´Â Àç·á·Î ±¸¼ºµÈ Àý¿¬¹°À» ¸»ÇÑ´Ù. ¿¹¸¦ µé¸é ¸é, °ß, Á¾ÀÌ µîÀÇ Àç·á¸¦ »ç¿ëÇϰí, ¹Ù´Ï½º¸¦ ÇÔħÇÏ¿© ±â¸§¿¡ ´ã±Ù °ÍÀ» ¸»ÇÑ´Ù.
EÁ¾ Àý¿¬ ÃÖ°í Çã¿ë¿Âµµ 120¡É¿¡ ÃæºÐÈ÷ °ßµð´Â Àç·á·Î ±¸¼ºµÈ Àý¿¬¹°À» ¸»ÇÑ´Ù.
BÁ¾ Àý¿¬ ÃÖ°í Çã¿ë¿Âµµ 120¡É¿¡ ÃæºÐÈ÷ °ßµð´Â Àç·á·Î ±¸¼ºµÈ Àý¿¬¹°À» ¸»ÇÑ´Ù. ¿¹¸¦ µé¸é ¸¶ÀÌÄ«, ¼®¸é, ±×¶ó½º ¼¶À¯ µîÀÇ Àç·á°¡ Á¢ÂøÁ¦¿Í °°ÀÌ »ç¿ëµÈ Àý¿¬¹°À» ¸»ÇÑ´Ù.
FÁ¾ Àý¿¬ ÃÖ°í Çã¿ë¿Âµµ 155¡É¿¡ ÃæºÐÈ÷ °ßµð´Â Àç·á·Î ±¸¼ºµÈ Àý¿¬¹°À» ¸»ÇÑ´Ù. ¿¹¸¦ µé¸é ¸¶ÀÌÄ«, ¼®¸é, ±×¶ó½º ¼¶À¯ µîÀÇ Àç·á°¡ ½Ç¸®ÄÜ ¾ËŰµå ¼öÁö µîÀÇ Á¢ÂøÁ¦¿Í °°ÀÌ »ç¿ëµÈ Àý¿¬¹°À» ¸»ÇÑ´Ù. HÁ¾ Àý¿¬ ÃÖ°í Çã¿ë¿Âµµ 180¡É¿¡ ÃæºÐÈ÷ °ßµð´Â Àç·á·Î ±¸¼ºµÈ Àý¿¬¹°À» ¸»ÇÑ´Ù. ¿¹¸¦ µé¸é ¸¶ÀÌÄ«, ¼®¸é, ±×¶ó½º ¼¶À¯ µîÀÇ Àç·á°¡ ½Ç¸®ÄÜ ¼öÁö ¶Ç´Â µ¿µîÀÇ ¼ºÁúÀ» °¡Áø Àç·á·Î µÈ Á¢ÂøÁ¦¿Í ÇÔ²² »ç¿ëµÈ Àý¿¬¹°À» ¸»ÇÑ´Ù. °í¹«»óÅ ȤÀº °íü»óÅÂÀÇ ½Ç¸®ÄÜ ¼öÁö ¶Ç´Â µ¿ µîÀÇ ¼ºÁúÀ» °¡Áø Àç·á°¡ ´Üµ¶À¸·Î »ç¿ëµÈ °æ¿ìµµ Æ÷ÇÔÇÑ´Ù.
CÁ¾ Àý¿¬ ÃÖ°í Çã¿ë¿Âµµ 180¡É¿¡ ÃæºÐÈ÷ °ßµð´Â Àç·á·Î ±¸¼ºµÈ Àý¿¬¹°À» ¸»ÇÑ´Ù. ¿¹¸¦ µé¸é »ý ¸¶ÀÌÄ«, ¼®¸é, Àڱ⠵îÀÌ ´Üµ¶À¸·Î »ç¿ëÇϰųª Á¢ÂøÁ¦¿Í ÇÔ²² »ç¿ëµÈ Àý¿¬¹°À» ¸»ÇÑ´Ù. ÀÌ»óÀÌ °¢Á¾ Àý¿¬¹°ÀÇ Àý¿¬µî±Þ¿¡ ´ëÇÑ Á¤ÀÇÀÌÁö¸¸, 2Á¾ ÀÌ»óÀÇ Àý¿¬Àç·á¸¦ È¥¿ëÇÑ °æ¿ì¿¡´Â ÀüüÀûÀ¸·Î Àü±âÀû ¹× ±â°èÀû ¼ºÁúÀ» ÇØÇÏÁö ¾Ê´Â °ÍÀÌ ±× Á¾ÀÇ Àý¿¬À¸·Î º»´Ù.
Àý¿¬Àç·áÀÇ ¼º´ÉÀÌ ÀúÇϵǴ ¿øÀÎÀº ±â±â ÁÖº¯ÀÇ °¡½º ¹× ½Àµµ°¡ ÀÖÀ¸¸ç, ±× ¿Ü¿¡ ¿Âµµ°¡ ³ôÀº °Íµµ Àý¿¬ Àç·áÀÇ ¼º´ÉÀ» ÀúÇÏÇÏ´Â Å« ¿øÀÎÀÌ µÇ°í ÀÖ´Ù. ÀÌ·¯ÇÑ °á°ú´Â Àü±â±â±âÀÇ Àý¿¬ÆÄ±«¿¡ ´ëÇÑ Àå±â°£ Åë°èÀû ÀÚ·á·ÎºÎÅÍ »êÃâµÈ °ÍÀÌ´Ù. JEC-147¿¡¼´Â ÃÖ°í Çã¿ë ¿Âµµ¸¦ [Ç¥ 2]°ú °°ÀÌ Á¤Çϰí ÀÖÀ¸¸ç, ÀÌ ¼öÄ¡´Â °¢Á¾ ÀÚ·á, ½ÇÇ躸°í µîÀ» ÂüÁ¶Çؼ Á¦Á¤µÇ¾ú´Ù. Àý¿¬Àç·á¿¡ ´ëÇÑ ÃÖ°í Çã¿ë¿Âµµ´Â ÀÌ ¿Âµµ¿¡ Á¤È®ÇÏ°Ô µµ´ÞÇÏ¸é ¼Ò¼ÕµÈ´Ù´Â °³³äÀº ¾Æ´Ï´Ù. ÀÌ ¿Âµµ°¡ Àå±â°£ Áö¼ÓµÇ¸é Åë»ó ±â´ëÇÏ´Â ±â±âÀÇ ¼ö¸íº¸´Ù´Â ¿ùµîÈ÷ ª´Ù´Â °ÍÀÌ´Ù.
1.11 Àü¼±ÀÇ ÇǺ¹ Àü±â±â±â¿¡ »ç¿ëµÇ´Â Àü¼±¿¡´Â ȯ¼±°ú Æò°¢¼± µÎ Á¾·ù°¡ ÀÖ´Ù. ȯ¼±Àº µ¿¼±ÀÇ ´Ü¸éÀÌ µÕ±Ù ÇüÅÂÀÇ Àü¼±À¸·Î JIS C-3103¿¡ ³ªÅ¸³½ °Í°ú °°ÀÌ Ç¥ÁØÇ°À» »ç¿ëÇÏÁö¸¸ ȯ¼±À» Àü±â±â±â¿¡ °¨À» ¶§´Â ÇǺ¹À» ÇØ¼ »ç¿ëÇÑ´Ù.
ÇǺ¹À¸·Î »ç¿ëµÇ°í ÀÖ´Â Àç·á´Â ¸é, °ß, Á¾ÀÌ, À¯¸® ¼¶À¯, ¼®¸é µîÀÌ ÀÖ´Ù. À̰͵é·Î ÇǺ¹µÈ ¼±À» °¢°¢ ¸é±Ç¼±, °ß±Ç¼±, Á¾À̱Ǽ±, À¯¸®¼¶À¯±Ç¼±, ¼®¸é¼± µîÀ¸·Î ºÎ¸£°í ÀÖ´Ù. ÀÌÁß º¸ÅëÀ¸·Î »ç¿ëµÇ´Â °ÍÀº AÁ¾ Àý¿¬À¸·Î´Â ¸é±Ç¼±À̳ª Á¾À̱Ǽ±ÀÌ´Ù. À¯¸®¼¶À¯±Ç¼±Àº B, F, HÁ¾ µî¿¡ »ç¿ëµÈ´Ù. ¸é±Ç¼±Àº 2Áß ¸é±Ç¼±ÀÌ ¸¹ÀÌ »ç¿ëµÈ´Ù.
°ß±Ç¼±Àº ±ØÈ÷ °¡´Â ¼±¹Û¿¡ »ç¿ëµÇÁö ¾ÊÀ¸¹Ç·Î Àü±â±â±â¿¡´Â °ÅÀÇ »ç¿ëµÇÁö ¾Ê´Â´Ù. Á¾À̱Ǽ±Àº µµÃ¼ À§¿¡ 0.03~0.04mmÀÇ Á¾À̸¦ 3Áß ÀÌ»ó ºÙ¿©¼ °¨Àº °ÍÀ¸·Î º¯¾Ð±â ±Ç¼±À¸·Î ¸¹ÀÌ »ç¿ëµÈ´Ù.
Àý¿¬Àç·á´Â ÃÖ±Ù »ó´çÈ÷ ¹ßÀüµÇ¾î Á¾·¡ºÎÅÍ »ç¿ëÇÑ À¯¼º ¿¡³ª¸á¼± ¿Ü¿¡ Æú¸®ºñ´ÒÆ÷¸Ö¼±, Æú¸®¿ì·¹Åº¼±, Æú¸®¿¡½ºÅÚ¼± µî°ú °°Àº Àü¼±ÀÌ »ç¿ëµÇ°í ÀÖ´Ù. ÀÌ·¯ÇÑ ÇÕ¼º¼öÁö¸¦ ÀÔÇô¼ °ÇÁ¶ÇÑ Àü¼±Àº ÇǺ¹ÀÇ µÎ²²°¡ ¾ã¾Æµµ Àý¿¬³»·ÂÀº ¿ì¼öÇÏ°í ±â°èÀûÀ¸·Îµµ ưưÇϱ⠶§¹®¿¡ ³Î¸® »ç¿ëµÈ´Ù. ±× °¡¿îµ¥ À¯¼º ¿¡³ª¸á, Æú¸®ºñ´ÒÆ÷¸Ö¼±Àº AÁ¾ Àý¿¬¿¡ »ç¿ëµÈ´Ù. À¯¼º ¿¡³ª¸á¼±Àº °£´ÜÈ÷ ¿¡³ª¸á¼±À̶ó°í ºÎ¸£°í °¡Àå ¿À·¡ ÀüºÎÅÍ »ç¿ëµÇ¾î ¿ÔÁö¸¸ ±â°èÀûÀ¸·Î ¾àÇÏ°í ±ÁÈû µî¿¡ ÇǺ¹ÀÌ Àß ¹þ°ÜÁö±â ¶§¹®¿¡ ÁÖ·Î º¯¾Ð±â, º¯¼º±â, °èÀڱǼ±¿¡ »ç¿ëµÈ´Ù. Æú¸®ºñ´ÒÆ÷¸Ö¼±Àº °£´ÜÈ÷ Æ÷¸Ö¼±À̶ó°í ºÎ¸£°í ±â°èÀûÀ¸·Î º¸ÅëÀÇ ¿¡³ª¸á¼± º¸´Ù °ÇϹǷΠ½½·Ô¿¡ »ðÀÔÇÒ ¶§µµ »ç¿ëµÈ´Ù. Æú¸®¿ì·¹Åº¼±Àº EÁ¾ Àý¿¬¿¡ »ç¿ëµÈ´Ù. Æú¸®¿¡½ºÅÚ¼±Àº BÁ¾ Àý¿¬À¸·Î »ç¿ëµÈ´Ù. À¯¸®¼¶À¯±Ç¼±ÀÇ ¼Ò¼± µÎ²²´Â 4~7¹ÌÅ©·Ð(1¹ÌÅ©·Ð=1/1000mm) Á¤µµ·Î ưưÇÏÁö¸¸ ºÎ½º·¯Áö±â ½¬¿î °áÁ¡ÀÌ ÀÖ´Ù. Àý¿¬¿ëÀ¸·Î »ç¿ëÇÏ´Â °ÍÀº ¹«(Ùí) ¾ËÄ«¸®¼ºÀ» »ç¿ëÇÑ´Ù.
Æò°¢¼±Àº JIS C-3104¿¡ ³ªÅ¸³½ °Í°ú °°ÀÌ »ç°¢ÇüÀÇ ´Ü¸éÀ̰í ȯ¼±°ú °°Àº ÇǺ¹À» ÇÒ ¼öµµ ÀÖÁö¸¸, ´ëºÎºÐÀº Å×ÀÌÇÁ¸¦ °¨¾Æ¼ ÇǺ¹ÇÑ´Ù. Å×ÀÌÇÁ Àç·á´Â ¸é, Á¾ÀÌ, ¸¶ÀÌÄ«, ±×¶ó½º ¼¶À¯, ¼®¸é µîÀ¸·Î ¸¸µé¾îÁø °ÍÀÌ »ç¿ëµÈ´Ù.
1.12 ±Ç¼±ÀÇ Àý¿¬ ȸÀü±âÀÇ ±Ç¼±Àº 1.11Àý¿¡ ¼³¸íÇÑ °Í°ú °°ÀÌ ÇǺ¹Àü¼±À» »ç¿ëÇÑ´Ù. À̰ÍÀ» »ç¿ëÇØ¼ ÄÚÀÏÀ» ¸¸µé¾î Àý¿¬À» ÇØ¼ ½½·Ô¿¡ ³Ö¾î¼ ±Ç¼±À» ÇÑ´Ù. ¿Ï¼ºµÈ ÄÚÀÏÀº Àý¿¬ ¹Ù´Ï½º¸¦ ÃæºÐÈ÷ ÇÔħ½ÃŲ ÈÄ, °ÇÁ¶½ÃŰ°í ´Ù½Ã ¹Ù´Ï½º¸¦ ÇÔħ½ÃÄÑ °ÇÁ¶½Ç¿¡ ³Ö¾î °ÇÁ¶½ÃŲ´Ù. ÀÌ·¸°Ô 3ȸ ÀÌ»ó ¹Ýº¹ÇÏ¸é ½À±â¸¦ Èí½ÀÇÏÁö ¾Ê°í, Ç¥¸éµµ µüµüÇØ¼ ±â°èÀûÀ¸·Î ưưÇÑ ±Ç¼±ÀÌ ¿Ï¼ºµÈ´Ù. °íÀü¾Ð ȤÀº ´ë¿ë·® ±â°èÀÇ °æ¿ì ¿ ÇÁ·¹½º±â(Hot Press Machine)¸¦ ÀÌ¿ëÇÏ¿© µµÃ¼¿¡ Àý¿¬¹°À» È®½ÇÇÏ°Ô À¶Âø½ÃŲ ÈÄ À̸¦ ¼ºÃþ½ÃÄÑ ÄÚÀÏÀ» Á¦ÀÛÇÑ´Ù. ¿©±â¼ º¯¾Ð±âÀÇ ±Ç¼±Àº ÁÖ·Î Á¾À̱Ǽ±ÀÌ »ç¿ëµÈ´Ù.
º¯¾Ð±â´Â °í¾Ð±â±â°¡ ¸¹À¸¹Ç·Î ±Ç¼±Á¦ÀÛ¿¡ ´ë´ÜÈ÷ ½ÅÁßÇÑ ¹æ¹ýÀ» ÅÃÇÑ´Ù. Áï, ¿Ï¼ºµÈ ÄÚÀÏÀ» Áø°ø Áß¿¡¼ °ÇÁ¶ÇÑ ÈÄ ¹Ù´Ï½º¸¦ ÇÔħ½ÃÄÑ ½À±â¸¦ °ÅÀÇ Ç°Áö ¾Ê´Â ±Ç¼±À» ¸¸µç ÈÄ ½À±â¸¦ ÃæºÐÈ÷ Á¦°ÅÇÑ ±â¸§À» ä¿î º¯¾Ð±â ¿ÜÇÔ¿¡ ³Ö¾î ±Ç¼±À» ¿Ï¼º½ÃŲ´Ù. Àý¿¬ÀÇ ¹æ¹ý¿¡ ´ëÇØ¼´Â °¢°¢ÀÇ ±â±âº°·Î ´ÙÀ½¿¡ ±â¼úÇÑ´Ù.
1.13 ÁÖ¹®¼¿Í ±Ô°Ý Àü±â±â°è¸¦ ÁÖ¹®ÇÏ´Â °æ¿ì Ãâ·Â, Àü¾Ð, ȸÀü¼ö, Á֯ļö µî Á¤°Ý»çÇ× À̿ܿ¡ Ư¼º, ÇÁ·¹ÀÓÀÇ ÇüÅÂ, ¿ëµµ, ±âµ¿Á¶°Ç, ¿©ÀÚ¹æ½Ä, »ç¿ëÀå¼Ò, ÁÖ¹®´ë¼ö, ¿¹ºñǰ, ºÎ¼ÓǰÀÇ Á¾·ù¿Í ¼ö·®, ¿î¼Û ¹æ¹ý, ³³±â, ±Ô°Ý µî ÁÖ¹®ÀÚ°¡ Á¦ÀÛÀÚ¿¡°Ô ¿ä±¸ÇÏ´Â »çÇ×À» ÁÖ¹®¼¿¡ ±âÀÔÇØ¼ º¸³½´Ù. ¶ÇÇÑ, Àü±â±â°è °øÅëÀ¸·Î Àû¿ëµÇ´Â ¿Âµµ»ó½Â, Àý¿¬³»·Â ½ÃÇèÀü¾Ð, Ư¼º½ÃÇè ¹æ¹ý µî¿¡ °üÇÑ ±Ô°ÝÀÌ ÀÖ´Ù. ÀÌ ±Ô°ÝÀº ±ÇÀ§ ÀÖ´Â ´Üü¿¡¼ Ç¥ÁØÀ¸·Î Á¦Á¤ÇÑ´Ù.
<Energy News>
http://www.energy.co.kr
|