 ÀϺ»ÀÇ ´ÙÄ«ÇϽÃ(ÍÔÎéãôìÑ) ¹Ú»çÀÇ Àú¼¸¦ Æí¿ªÇÑ ¹èÁø¿ë µ¿½Å´ëÇб³ Àü±âÂ÷ Á¦¾î ±³¼öÀÇ ¿©¼¸ ¹øÂ° ¿¬À縦 À̾´Ù. Áö³ È£ºÎÅÍ 'Á÷·ù±âÀÇ ¼³°è'¿¡ °üÇÑ Ã©Å͵éÀ» °ÔÀçÇϰí ÀÖ´Ù. Á÷·ù±â´Â Åëdz±¸ÀÇ À¯¹«¿Í Åëdz¹æ½Ä, º¸È£¹æ½Ä µî¿¡ µû¶ó ÇüŸ¦ ´Þ¸®ÇÏ¸ç ´Ù¾çÇÑ Á¾·ù·Î ³ª´¶´Ù. À̹ø È£¿¡´Â Áö³ 8¿ùÈ£(Åë±Ç 364È£)¿¡ °ÔÀçÇÑ 2ÀåÀÇ ½º¹°µÎ ¹øÂ° ÀýÀÎ ‘ÀÚ±âȸ·ÎÀÇ °è»ê’¿¡ ÀÌ¾î ½º¹°¼¼ ¹øÂ° Àý ‘°ø±ØÀÇ °è»ê’Æí¿¡¼ ½º¹°Àϰö ¹øÂ° ÀýÀÎ ‘Àü±âÀÚ ¹ÝÀÛ¿ë¿¡ ÀÇÇÑ Àü¾Ð°ÇÏ’Æí±îÁö ¼ö·ÏÇß´Ù. <ÆíÁýºÎ>
2.23 °ø±ØÀÇ °è»ê
¸Å±ØÀÇ Àü±âÀÚ ¾ÏÆä¾î Åϼö(AT)¿Í ¸Å±ØÀÇ (°ø±Ø+Ä¡) ¾ÏÆä¾î Åϼö(AT) »çÀÌ¿¡´Â Àû´çÇÑ ºñÀ²ÀÌ ÀÖ´Ù. º¸±ØÀÌ ¾ø´Â Á÷·ù±â¿¡´Â ½Ä (2.28)ÀÇ °ü°è°¡ ¼º¸³µÇ¸ç, ¸Å±ØÀÇ Àü±âÀÚ ¾ÏÆä¾î Åϼö(AT)´Â (ICZ) / (2P)°¡ µÈ´Ù. ¸Å±ØÀÇ Àü±âÀÚ ¾ÏÆä¾î Åϼö(AT)¿Í ¸Å±ØÀÇ (°ø±Ø+Ä¡) ¾ÏÆä¾î Åϼö(AT) »çÀÌÀÇ ºñÀ²ÀÌ ½Ä (2.28)ÀÇ ÇѰ躸´Ù ÀÛ°Ô µÇ¸é Á¤·ù»óŰ¡ ¾ÇȵȴÙ.
º¸±ØÀÌ ÀÖ´Â Á÷·ù±â¿¡¼´Â ½Ä (2.29)ÀÇ °ü°è°¡ ¼º¸³µÇ¸ç ¾ÏÆä¾î Åϼö(AT)ÀÇ ºñÀ²À» ³·°Ô ÇÒ ¼ö ÀÖ´Ù. ÀÌ´Â º¸±ØÀÌ ÀÖ´Â °æ¿ì°¡ ¾ø´Â °æ¿ì¿¡ ºñÇØ Àü±âÀÚ ¾ÏÆä¾î Åϼö(AT)¸¦ Å©°Ô ÇÒ ¼ö Àֱ⠶§¹®ÀÌ´Ù.
µû¶ó¼ º¸±ØÀÌ ÀÖ´Â °æ¿ì°¡ ¾ø´Â °æ¿ì¿¡ ºñÇØ ±â°èÀÇ Å©±â¸¦ ´ëÆøÀûÀ¸·Î ÀÛ°Ô ÇÒ ¼ö ÀÖÀ¸¹Ç·Î 1[kW] ÀÌ»óÀÇ ´ëºÎºÐ Á÷·ù±â¿¡¼´Â º¸±ØÀ» ¼³Ä¡ÇÑ´Ù.
°ø±ØÀÇ Å©±â´Â ½Ä (2.28)À̳ª ½Ä (2.29)·ÎºÎÅÍ ±¸ÇÒ ¼ö ÀÖÁö¸¸ [±×¸² 2.60]ÀÇ ±×·¡ÇÁ¿¡¼µµ ±¸ÇÒ ¼ö ÀÖ´Ù. [±×¸² 2.60]¿¡¼ °ø±Ø¿¡ ÀÇÇØ °è»êµÈ ¸Å±Ø(°ø±Ø+Ä¡)ÀÇ ¾ÏÆä¾î Åϼö(AT)¸¦ ±¸ÇÏ°í ±× °á°ú°¡ ½Ä (2.29)¿¡ ÀûÇÕÇÑ ÁöÀÇ ¿©ºÎ¸¦ °ËÅäÇÏ¿© ¼³°èÇÏ´Â °ÍÀÌ ÀϹÝÀûÀÌ´Ù.
2.24 ºÐ±Ç ¹× Á÷±Ç°èÀÚÀÇ °è»ê
ºÐ±Ç°èÀÚ¿¡¼ ÀÚ±âȸ·ÎÀÇ ±æÀ̸¦ °è»êÇϱâ À§Çؼ´Â °èöÀÇ ³»°æÀ» °áÁ¤ÇÒ Çʿ䰡 ÀÖÀ¸¸ç, °èöÀÇ ³»°æÀº [±×¸² 2.61]°ú °°ÀÌ Àü±âÀÚ Á÷°æ°ú °ü·ÃµÈ´Ù. °èöÀÇ ³»°æÀÌ °áÁ¤µÇ¸é °ø±Øµµ °áÁ¤µÇ¹Ç·Î ÀÚ±ØÀÇ ±æÀ̸¦ ±¸ÇÒ ¼ö ÀÖÀ¸¸ç, ¾ÏÆä¾î Åϼö(AT)ÀÇ ÇÕÀº 2.22Àý [Ç¥ 2.2]¸¦ ÅëÇØ¼ °è»êÇÑ´Ù. À̷κÎÅÍ ºÐ±Ç°èÀÚ ±Ç¼±ÀÇ Åϼö¸¦ ±¸ÇÒ ¼ö ÀÖ´Ù. Âü°í·Î ºÐ±Ç¹ßÀü±âÀÇ °æ¿ì ¾ÏÆä¾î Åϼö(AT)ÀÇ ÀüºÎ¸¦ ºÐ±Ç °èÀÚ·Î °è»êÇÒ ¼ö ÀÖÀ¸³ª, º¹±Ç¹ßÀü±âÀÇ °æ¿ì ¹«ºÎÇÏ¿¡ ÀÖ¾î¼ ¾ÏÆä¾î Åϼö(AT)¸¦ ºÐ±Ç °èÀÚÀÇ ¾ÏÆä¾î Åϼö(AT)·Î °í·ÁÇÒ ¼ö ÀÖ´Ù.
¾ÏÆä¾î Åϼö(AT)¿¡¼ Åϼö¸¦ ±¸ÇÒ ¶§ ºÐ±Ç°èÀÚ ±Ç¼±ÀÇ Æò±Õ ±æÀ̸¦ °í·ÁÇÏ¿©¾ß ÇÑ´Ù. À̸¦ À§Çؼ´Â ¸ÕÀú ¾î´À Á¤µµÀÇ ÄÚÀÏ ±½±â·Î ÇÒ °ÍÀΰ¡¸¦ °áÁ¤Çϰí À̷κÎÅÍ ºÐ±Ç°èÀÚ ±Ç¼±ÀÇ Æò±Õ±æÀ̸¦ ±¸ÇÑ´Ù. ºÐ±Ç°èÀÚ ±Ç¼±ÀÇ Æò±Õ±æÀÌ Lsh[mm], ATsh¸¦ ºÐ±Ç°èÀÚ ±Ç¼±ÀÇ ¾ÏÆä¾î Åϼö(AT)¶ó Çϸé ÄÚÀÏÀÇ ´Ü¸éÀû A[mm2]Àº ½Ä (2.30)À¸·Î ³ªÅ¸³¾ ¼ö ÀÖ´Ù.
ÄÚÀÏÀÇ ´Ü¸éÀû ρ[mm2]¸¦ ¾Ë¸é ÄÚÀÏÀÇ Á÷°æÀ» °è»êÇÒ ¼ö ÀÖÀ¸¸ç, ÀÌ¿¡ µû¶ó ºÐ±Ç°èÀÚ ±Ç¼±ÀÇ Ä¡¼ö¿Í Åϼö°¡ °è»êµÉ ¼ö ÀÖ´Ù. ¿©±â¼ ρ´Â °èÀÚÁ¶Á¤±âÀÇ ¿©À¯¸¦ ³ªÅ¸³»´Â ¼öÄ¡À̸ç, Rsh´Â ºÐ±Ç °èÀÚ ±Ç¼±ÀÇ ÀúÇ×, Rsh¸¦ °èÀÚÁ¶Á¤±âÀÇ ÀúÇ×À̶ó Çϸé, ¾Æ·¡¿Í °°ÀÌ ³ªÅ¸³¾ ¼ö ÀÖÀ¸¸ç, ´ëü·Î 0.8 ÀÌÇϰ¡ µÈ´Ù. Á÷±Ç°èÀÚÀÇ ATs´Â ¸Å±ØÀÇ ÀüºÎÇÏ AT- ¸Å±ØÀÇ ¹«ºÎÇÏ AT·Î ÇÑ´Ù. µû¶ó¼ Á÷±Ç°èÀÚ ±Ç¼±ÀÇ Åϼö´Â ½Ä (2.31)°ú °°ÀÌ ³ªÅ¸³¾ ¼ö ÀÖ´Ù. Á÷±Ç°èÀÚ ±Ç¼±Àº ºÐ±Ç°èÀÚ ±Ç¼±ÀÇ ¹Ù±ù ÂÊ¿¡ °¨°Ô µÇ¹Ç·Î Æò±Õ±æÀ̸¦ ±¸ÇÏ´Â °æ¿ì ºÐ±Ç°èÀÚ ±Ç¼±ÀÇ ¿ÜÃøÀÇ Ä¡¼ö¸¦ ±¸ÇÏ¿© °è»êÇϸç, Á÷±Ç°èÀÚ ±Ç¼±À¸·Î »ç¿ëÇÏ´Â ÄÚÀÏÀÇ Ä¡¼ö´Â Àü·ù¹Ðµµ¸¦ ¾à 2.3[A/mm2]À¸·Î °¡Á¤ÇÏ°í °è»êÇÑ´Ù.
2.25 º¸±ØÀÇ °è»ê
º¸±ØÀº ÁÖÀÚ±Ø »çÀÌ¿¡ ¼³Ä¡µÇ¸ç ±Ø¼ºÀº [±×¸² 2.62]¿¡ ³ªÅ¸³½ ¹Ù¿Í °°´Ù. º¸±ØÀº Á¤·ù½Ã ´Ü¶ô»óÅ¿¡ ÀÖ´Â ÄÚÀÏÀÌ °³·Î(ËÒÖØ)µÉ ¶§ À¯µµµÇ´Â Àü¾ÐÀ» Á¦°ÅÇÏ´Â ÀÛ¿ëÀ» Çϸç, Á¤·ù Áß¿¡ ÀÖ´Â ÄÚÀÏÀº [±×¸² 2.63]°ú °°ÀÌ Àü·ù ¹æÇâÀÌ º¯Çϸç Á¤·ù ÈÄ¿¡´Â Á¤·ù ÀüÀÇ ¹æÇâ°ú Àü·ù ¹æÇâÀÌ ¹Ý´ë·Î µÈ´Ù.
Á¤·ù Áß¿¡ ÀÖ´Â ÄÚÀÏÀÇ Àü·ù¸¦ i¶ó Çϸé i/dt¿Í ½Ã°£°úÀÇ °ü°è¸¦ ³ªÅ¸³»´Â °î¼±À» Á¤·ù°î¼±À̶ó ÇÑ´Ù. [±×¸² 2.64]´Â Á¤·ù Áß¿¡ ÀÖ´Â Àü±âÀÚ ÄÚÀÏÀÇ Àü·ù º¯È¸¦ ³ªÅ¸³»°í ÀÖÀ¸¸ç, ±×¸²¿¡¼ a´Â Á÷¼±ÀûÀÎ º¯È·Î ÀÌ´Â ÀÌ»óÀûÀÎ º¯È¶ó ÇÒ ¼ö ÀÖ°í, b´Â °úÁ¤·ù(over commutation)ÀÇ °æ¿ì, c´Â ºÎÁ·Á¤·ù(under commutation)ÀÇ °æ¿ì¸¦ ³ªÅ¸³»¸ç b,c¿Í °°ÀÌ º¯ÈÇÏ´Â °æ¿ì ¾ÆÅ©°¡ ¹ß»ýÇÒ ¼ö ÀÖ´Ù.  
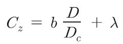
º¸±Ø ±Ç¼±Àº Àü±âÀÚ¿Í Á÷·Ä·Î Á¢¼ÓµÇ¸ç, Àü±âÀÚ ¹ÝÀÛ¿ëÀ¸·Î ¹ß»ýÇÏ´Â ÀÚ¼ÓÀÇ Áß¼ºÁ¡ À̵¿À» °³¼±ÇϹǷΠ¹«ºÎÇÏ¿¡¼ ÀüºÎÇÏ¿¡ °ÉÃļ ¾çÈ£ÇÑ Á¤·ù»óŸ¦ ¾òÀ» ¼ö ÀÖ°Ô µÈ´Ù. µû¶ó¼, º¸±ØÀÌ ÀÖ´Â °æ¿ì ºê·¯½Ã´Â À̵¿µÇÁö ¾ÊÀ¸¸ç ½Ä (2.10)°ú °°Àº °¨ÀÚ ¾ÏÆä¾î Åϼö(AT)°¡ Á¸ÀçÇÏÁö ¾Ê´Â´Ù. ±×·¯³ª ±³Â÷ ¾ÏÆä¾î Åϼö(AT)´Â Á¸ÀçÇϹǷΠÀÌ¿¡ µû¸¥ Àü¾Ð°Çϰ¡ ¹ß»ýÇÑ´Ù. º¸±ØÀÇ ¼³°è´Â °æÇè¿¡ ÀÇÇØ ÀÌ·ç¾îÁö´Â °æ¿ì°¡ ´ëºÎºÐÀ̸ç, [±×¸² 2.65]¿Í °°Àº ÇüÅ·Π¼³°èµÈ´Ù. ¼±´ÜÀº ¾ç´ÜÀÌ θÀÇ °¢À¸·Î °æ»ç¸¦ ÀÌ·ç°í ÀÖÀ¸¸ç, º¸±ØÀÇ °ø±Ø δt´Â ÀϹÝÀûÀ¸·Î ÁÖÀÚ±ØÀÇ °ø±Ø¿¡ ºñÇØ 1.1~2.0¹è Á¤µµ Å©°Ô ¼³°èÇÑ´Ù. º¸±ØÀÇ Æø Wi´Â ´ÙÀ½°ú °°ÀÌ ¼±Á¤ÇÑ´Ù. Cz¸¦ Á¤·ù´ë(commutation zone), Áï Á¤·ù°¡ ÀÌ·ç¾îÁö°í ÀÖ´Â ºÎºÐÀÇ Àü±âÀÚ »ó¿¡¼ÀÇ ±æÀ̶ó Çϸé, Á߱ǿ¡¼ 1½½·Ô ´ÜÀý±ÇÀÇ °æ¿ì ´ÙÀ½ÀÇ ½ÄÀ¸·Î Ç¥ÇöÇÒ ¼ö ÀÖ´Ù. ¿©±â¼ b´Â ºê·¯½Ã Æø, D´Â Àü±âÀÚ Á÷°æ, λ´Â ½½·ÔÀÇ ÇÇÄ¡¸¦ ³ªÅ¸³½´Ù. º¸±ØÀÇ Æø Wi´Â ´ÙÀ½°ú °°ÀÌ ³ªÅ¸³¾ ¼ö ÀÖ´Ù. ±×¸®°í ÀÌ ½ÄÀº ÀϹÝÀûÀ¸·Î ½Ä (2.32)¿Í °°ÀÌ µÈ´Ù. ¿©±â¼ s´Â ½½·ÔÀÇ ¿¸° Á¤µµ¸¦ ³ªÅ¸³½´Ù. ÀüÀý±ÇÀÇ °æ¿ì Wi°¡ ½Ä (2.32)º¸´Ù ÀÛÁö¸¸ ½Ä (2.32)ÀÇ °ªÀ» ÅÃÇÏ¿©µµ Å« ÁöÀåÀº ¾øÀ¸¸ç, ÆÄ±Ç¿¡¼µµ º¸±ØÀÇ ÆøÀº ½Ä (2.32)·Î ¼³°èÇÑ´Ù. º¸±Ø ¼±´ÜÀÇ ÆøÀº [±×¸² 2.65]¿Í °°ÀÌ Âª°Ô µÇ¸ç ½Ä (2.33)À¸·Î ¼³°èÇÏ´Â °ÍÀÌ Àû´çÇÏ´Ù. 1°³ÀÇ Àü±âÀÚ ÄÚÀÏÀº ¾çº¯ÀÌ º¸±Ø ¾Æ·¡¿¡ ³õ¿© ÀÖÁö ¾ÊÀ¸¸é Á¤·ù±ØÀ¸·Î¼ÀÇ ÀÛ¿ëÀ» ÇÒ ¼ö ¾øÀ¸¸ç, [±×¸² 2.66]°ú °°ÀÌ ¼³°èÇÏ¿©¾ß ÇÑ´Ù. ÀÌ·¯ÇÑ ÀÌÀ¯·Î ±Ø´Ü(пӮ)Àº ´ÜÀý±ÇÀ¸·Î ÇÒ ¼ö ¾ø´Ù. 2 ½½·ÔÀÇ ´ÜÀý±ÇÀ¸·Î ÇÏ´Â °æ¿ì ½Ä (2.32)¿¡¼ WiÀÇ °ªÀÌ ³Ê¹« ÀÛ°Ô µÈ´Ù. º¸±ØÀÇ ±æÀÌ Li´Â ÁÖÀÚ±ØÀÇ ±æÀÌ LpÀÇ 1/2 Á¤µµ°¡ ¹Ù¶÷Á÷ÇÏÁö¸¸, ½ÇÁ¦¿¡ ÀÖ¾î¼ ÁÖÀڱذú °°Àº ±æÀÌ·Î ÇÏ´Â °æ¿ì°¡ ¸¹´Ù. º¸±ØÀÇ ¾ÏÆä¾î Åϼö ATi´Â Àü±âÀÚ ¾ÏÆä¾î Åϼö(AT)¿Í º¸±ØÀÇ °ø±Ø¿¡ ÀÇÇÑ ¾ÏÆä¾î Åϼö(AT)¿Í °ü°èÀÖÀ¸¸ç, ½Ä (2.34)·Î ³ªÅ¸³¾ ¼ö ÀÖ´Ù. ¿©±â¼ K1, K2´Â Á¤¼ö, Ct¿Í δt, Bi´Â º¸±ØÀÇ Ä«ÅͰè¼ö, °ø±Ø, Àڼӹеµ¸¦ ³ªÅ¸³½´Ù. µû¶ó¼ ½Ä (2.34)¿¡¼ º¸±ØÀÇ ¾ÏÆä¾î Åϼö ATi¸¦ ±¸ÇÏ´Â °ÍÀÌ ÇÕ¸®ÀûÀÌÁö¸¸ ½ÇÁ¦¿¡ ÀÖ¾î¼ °£´ÜÇÑ °æÇè½ÄÀ¸·ÎºÎÅÍ Àü±âÀÚ ¾ÏÆä¾î Åϼö(AT)ÀÇ 1.2~1.4¹è Á¤µµ·Î ÇÑ´Ù. Áï ATi¸¦ Àü±âÀÚ Àü·ù·Î ³ª´« °ªÀÌ º¸±ØÀÇ Åϼö°¡ µÇ¸ç, ½Ä (2.35)·Î ±Ù»ç½Ãų ¼ö ÀÖ´Ù.
2.26 º¸»ó±Ç¼±ÀÇ ¼³°è
º¸»ó±Ç¼±ÀÌ ¼³Ä¡µÈ Á÷·ù±â´Â ±Þ°ÝÇÏ°Ô ºÎÇϰ¡ º¯µ¿ÇÏ´Â °æ¿ì, Àü¾ÐÀÌ ³ôÀº °æ¿ì, Àü¾Ð ¶Ç´Â ¼ÓµµÀÇ º¯È°¡ ±¤¹üÀ§ÇÑ °æ¿ì ¹× ´ëÃâ·ÂÀÇ °æ¿ì¿¡ ÁÖ·Î »ç¿ëµÈ´Ù. Áï, Ãâ·Â [kW]°ú ȸÀü¼ö [rpm]ÀÇ °öÀÌ 350,000 ÀÌ»óÀÎ Á÷·ù±â¿¡´Â º¸»ó±Ç¼±À» ¼³Ä¡ÇÏ´Â °ÍÀÌ ¹Ù¶÷Á÷ÇÏÁö¸¸ ÀÌ ¼öÄ¡°¡ È®Á¤µÈ °ÍÀ̶ó ÇÒ ¼ö´Â ¾øÀ¸¸ç, °³·«ÀûÀÎ ¼öÄ¡¸¦ ³ªÅ¸³½ °ÍÀ̶ó ÇÒ ¼ö ÀÖ´Ù. º¸»ó±Ç¼±Àº ÁÖÀÚ±Ø ¸é¿¡ ¼³Ä¡µÈ ½½·Ô¿¡ ºÐÆ÷µÇ¾î °¨À¸¸ç, Àü±âÀÚ¿Í Á÷·Ä·Î Á¢¼ÓµÈ´Ù. [±×¸² 2.67]Àº º¸»ó±Ç¼±À» ¸ÅÀÔÇϱâ À§ÇØ ÁÖÀÚ±Ø ¸é¿¡ ¼³Ä¡µÈ ½½·ÔÀ» ³ªÅ¸³½´Ù. [±×¸² 2.68]Àº º¸»ó±Ç¼±ÀÇ Á¢¼ÓÀ» ³ªÅ¸³½ °ÍÀ¸·Î º¸»ó±Ç¼±ÀÇ ÄÚÀÏÀº ¾ç±ØÀ¸·Î ºÐ¸®ÇÏ¿© °¨´Â´Ù. º¸»ó±Ç¼± ÄÚÀÏÀÇ ¾ÏÆä¾î Åϼö ATc´Â ½Ä (2.36)°ú °°´Ù.  º¸»ó±Ç¼±Àº Àü±âÀÚ¿Í Á÷·Ä·Î Á¢¼ÓµÇ¹Ç·Î ATc¸¦ Àü±âÀÚ Àü·ù·Î ³ª´©¸é º¸»ó±Ç¼±ÀÇ Åϼö¸¦ °è»êÇÒ ¼ö ÀÖÀ¸¸ç, ÀÌ Åϼö¸¦ Àڱظ鿡 °¨°Ô µÈ´Ù. 2.27 Àü±âÀÚ ¹ÝÀÛ¿ë¿¡ ÀÇÇÑ Àü¾Ð°ÇÏ
Àü±âÀÚ ¹ÝÀÛ¿ëÀÌ ÀÖ´Â °æ¿ì º¸±ØÀÌ ¾ø´Â Á÷·ù¹ßÀü±â¿¡¼´Â °¨ÀÚÀÛ¿ë¿¡ ÀÇÇÑ Àü¾Ð°Çϰ¡ ¹ß»ýÇϸç, ÀÌ °æ¿ì ÀÚ°èÀÇ ºÐÆ÷´Â [±×¸² 2.69]¿Í °°ÀÌ ¿Ö°îµÈ´Ù. [±×¸² 2.69]´Â [±×¸² 2.28]ÀÇ Àڰ踦 Àý´ÜÇÏ¿© ÆîÃÄ ³ªÅ¸³½ °ÍÀ¸·Î ÀÚ±Ø ¾Æ·¡ÀÇ Àڰ踦 ³ªÅ¸³½´Ù. [±×¸² 2.69]¿¡¼ °î¼± ¨çÀº [±×¸² 2.26]ÀÇ ÀÚ°è(ÁÖÀÚ±ØÀÇ ÀÚ°è)¸¦ ³ªÅ¸³»°í
³ªÅ¸³»°í, °î¼± ¨è´Â [±×¸² 2.27]ÀÇ ÀÚ°è(Àü±âÀÚ Àü·ù¿¡ ÀÇÇÑ ÀÚ°è)¸¦ ³ªÅ¸³»¸ç, °î¼± ¨éÀº °î¼± ¨è°¡ °ø±â Áß¿¡¼ÀÇ Àڰ踦 ³ªÅ¸³»´Âµ¥ ´ëÇÏ¿© ÀÚ±ØÆí¿¡ ÀÖ¾î¼ ½ÇÁ¦·Î ÀÛ¿ëÇÏ´Â Àڰ踦 ³ªÅ¸³½´Ù. °î¼± ¨ê´Â °î¼± ¨ç ³»Áö ¨éÀÇ ÇÕ¼º Àڰ踦 ³ªÅ¸³½´Ù. ÀÌ¿¡ µû¶ó Àü¾ÐÀÌ ¹ß»ýµÇ¾î [±×¸² 2.28]ÀÇ °æ¿ì¿Í ÀÏÄ¡ÇÏ°Ô µÈ´Ù.
¶ÇÇÑ, ÀÌ·Î ÀÎÇÏ¿© ºê·¯½Ã´Â [±×¸² 2.29]¿¡ ³ªÅ¸³½ ¹Ù¿Í °°ÀÌ A, A'ÀÇ À§Ä¡·Î À̵¿½ÃÄÑ¾ß ÇÑ´Ù. º¸±ØÀÌ ÀÖ´Â ¹ßÀü±âÀÇ °æ¿ì¸¦ [±×¸² 2.70]¿¡ ³ªÅ¸³»¾ú´Ù. ¿©±â¼ ÀÛÀº ÀÚ±ØÀº º¸±ØÀ» ³ªÅ¸³»¸ç, ±× ÀÚ¼º(í¸àõ)Àº N, S·Î Ç¥½ÃÇÏ¿´´Ù. Àڰ踦 ³ªÅ¸³»´Â °î¼± ¨ç ³»Áö ¨ê´Â [±×¸² 2.69]¿Í µ¿ÀÏÇÏ´Ù. ±×·¯³ª º¸±ØÀÌ ÀÖ´Â °æ¿ì ºê·¯½Ã´Â Áß¼ºÁ¡¿¡¼ À̵¿ÇÏÁö ¾Ê¾Æµµ µÈ´Ù
º¸±Ø°ú º¸»ó±Ç¼±À» °®´Â ¹ßÀü±âÀÇ ÀÚ°èºÐÆ÷´Â [±×¸² 2.71]°ú °°´Ù. [±×¸² 2.71]¿¡¼ °î¼± ¨ç~¨ê´Â [±×¸² 2.69]¿Í µ¿ÀÏÇÏ´Ù. ±×·¯³ª °î¼± ¨ç°ú °î¼± ¨ê´Â Áߺ¹µÈ´Ù. ¶ÇÇÑ °î¼± ¨ë´Â º¸»ó±Ç¼±¿¡ ÀÇÇÑ Àڰ踦 ³ªÅ¸³»¸ç, ÀÌ»óÀûÀÎ °æ¿ì °î¼± ¨è¿Í ¹Ý´ë ¹æÇâÀÇ ´ëĪÀ̸ç Å©±â°¡ °°°Ô µÈ´Ù. °î¼± ¨ìÀº °î¼± ¨ë°¡ °ø±â Áß¿¡ ºÐÆ÷µÇ´Â °Í¿¡ ´ëÇØ ÀÚ±ØÆí¿¡ ÀÖ¾î¼ ½ÇÁ¦·Î ÀÛ¿ëÇÏ´Â Àڰ踦 ³ªÅ¸³»¸ç, °î¼± ¨ìÀº ÀÌ»óÀûÀÎ °æ¿ì °î¼± ¨é°ú Å©±â´Â °°°í ¹æÇâÀÌ ¹Ý´ë°¡ µÇ¾î ¼·Î »ó¼âµÈ´Ù. µû¶ó¼ º¸±Ø°ú º¸»ó±Ç¼±À» ÀÌ»óÀûÀ¸·Î ¼³°èÇÑ °æ¿ì °î¼± ¨ê´Â °î¼± ¨ç°ú ÀÏÄ¡ÇÏ°Ô µÈ´Ù.
[±×¸² 2.71]ÀÇ °æ¿ì °î¼± ¨ç°ú ¨ê°¡ ÀÏÄ¡ÇϹǷΠÀü±âÀÚ ¹ÝÀÛ¿ë¿¡ ÀÇÇØ Àü¾ÐÀº º¯ÇÏÁö ¾ÊÁö¸¸, [±×¸² 2.69]¿Í [±×¸² 2.70]¿¡ ÀÖ¾î¼ °î¼± ¨ê¿Í °î¼± ¨çÀº ¼·Î ´Ù¸£´Ù. °î¼± ¨ê¿Í °î¼± ¨çÀÇ ¸éÀûºñ´Â Àü±âÀÚ ¹ÝÀÛ¿ëÀÌ ÀÖ´Â °æ¿ì¿Í ¾ø´Â °æ¿ì ¹ß»ýÇÏ´Â Àü¾ÐÀÇ ºñÀÌ´Ù. Áï [±×¸² 2.72]´Â [±×¸² 2.70]¿¡¼ ¨ç, ¨êÀÇ °î¼±À» µû·Î ³ªÅ¸³½ °ÍÀ¸·Î ºø±Ý Ä£ ºÎºÐÀÇ °î¼± ¸éÀû¿¡ ºñ·ÊÇÏ´Â Àü¾ÐÀÌ À¯µµµÈ´Ù. [±×¸² 2.72]¿¡¼ cc'ÀÇ ±æÀÌ´Â bb'¿¡ ºñÇØ ªÀ¸¸ç, ÀÌ´Â ÀڱشÜÀÇ Æ÷ÈÇö»ó ¶§¹®ÀÌ´Ù. µû¶ó¼ ÀÌ °î¼±ÀÇ ¸éÀû a'b'c'd'°ú ¸éÀû abcdÀÇ ºñ´Â Àü±âÀÚ ¹ÝÀÛ¿ëÀ¸·Î ÀÎÇÑ Àü¾Ð°ÇÏÀÇ ºñÀ²ÀÌ µÈ´Ù. [±×¸² 2.73]Àº [±×¸² 2.72]ÀÇ ÀÚ°è¿¡¼ ÀüºÎÇÏ Æ÷ȰÀ» ³ªÅ¸³½ °ÍÀ¸·Î [±×¸² 2.73]¿¡¼ ÀÚ°èÀÇ ¾ÏÆä¾î Åϼö(AT) ¶Ç´Â ¿©ÀÚÀü·ù¸¦ ȾÃàÀ¸·Î Çϸç, Àü¾Ð ȤÀº ÀÚ±ØÀÇ ÀÚ¼Ó¼ö¸¦ Á¾ÃàÀ¸·Î ÇÏ¿© µµ½ÃÇÑ °ÍÀÌ´Ù. 
[±×¸² 2.73]¿¡¼ OG´Â °ø±ØÀÇ ¾ÏÆä¾î Åϼö(AT) °î¼±À¸·Î, °î¼± ¨çÀº ÀÚ°è¿¡ ÀÇÇØ À¯µµµÇ´Â Àü¾Ð, Áï ¹«ºÎÇÏ Æ÷ȰÀ¸·Î [±×¸² 2.70]ÀÇ °î¼± ¨ç¿¡ ÇØ´çµÇ¸ç, ¿©±â¿¡ ºÎÇϰ¡ Àΰ¡µÇ¸é Àü±âÀÚ ¹ÝÀÛ¿ë¿¡ ÀÇÇØ Á¡ c´Â Á¡ d±îÁö °Çϵǰí, Àü±âÀÚ ºê·¯½Ã, º¸±Ø±Ç¼± µîÀÇ ÀúÇ׿¡ ÀÇÇÑ Àü¾Ð°ÇÏ·Î ÀÎÇÏ¿© Á¡ d´Â Á¡ e·Î °ÇϵȴÙ. µû¶ó¼ ÀüºÎÇϰ¡ Àΰ¡µÇ¸é ¹«ºÎÇÏ Àü¾ÐÀ» ³ªÅ¸³»´Â Á¡ c´Â Á¡ e±îÁö ¶³¾îÁø´Ù. °°Àº ¹æ¹ýÀ¸·Î °î¼± ¨ç»ó¿¡ c0, c1... µîÀ» ¼³Á¤Çϸé Àü±âÀÚ ¹ÝÀÛ¿ë¿¡ ÀÇÇØ d0, d1 ...µîÀ¸·Î Àü¾ÐÀÌ °ÇϵǸç ÀÌ¿¡ µ¡ºÙ¿© ÀúÇ׿¡ ÀÇÇÑ °ÇÏ e0, e1... µîÀ¸·Î µÈ´Ù. ¿©±â¼ e, e0, e1... À» ¿¬°áÇÏ¸é °î¼± ¨ê¸¦ ¾òÀ» ¼ö ÀÖÀ¸¸ç, ÀÌ´Â [±×¸² 2.72]ÀÇ °î¼± ¨ê¿¡¼ À¯µµÇÑ °Í°ú µ¿ÀÏÇÏ°Ô µÈ´Ù. Áï [±×¸² 2.73]¿¡¼ °î¼± ¨ê´Â ÀüºÎÇÏ Æ÷ȰÀÌ µÈ´Ù. ÇÑÆí e0´Â Á¤°ÝÀü¾Ð¿¡ ÇØ´çÇÏ´Â Á¡À¸·Î Á÷¼± ab°¡ Á¤°ÝÀü¾ÐÀ» ³ªÅ¸³½´Ù¸é c0 e0´Â ÀüºÎÇϽà Àü¾Ð°Çϸ¦ ³ªÅ¸³½´Ù. E¸¦ ´ÜÀÚÀü¾ÐÀ̶ó¸é À¯µµ±âÀü·Â E0´Â ½Ä (2.37)°ú °°ÀÌ ³ªÅ¸³¾ ¼ö ÀÖ´Ù.  [±×¸² 2.73]¿¡¼ k´Â ¾Æ·¡¿Í °°´Ù.ÀÌ °ªÀº ½Ä (2.16)¿¡ »ç¿ëµÈ k¿Í µ¿ÀÏÇÏ¸ç °æÇè»ó k´Â ¹ßÀü±âÀÇ °æ¿ì 1.07~1.10, Àüµ¿±âÀÇ °æ¿ì 0.91~0.93ÀÇ °ªÀ» °®´Â´Ù. [±×¸² 2.73]¿¡¼ °î¼± ¨ê´Â ¼³°è»óÀÇ µ¥ÀÌÅÍ¿¡¼ °è»ê¿¡ ÀÇÇØ ±¸ÇÒ ¼ö ÀÖÀ¸³ª °è»ê°úÁ¤ÀÌ º¹ÀâÇÏ°í ¶ÇÇÑ Æ÷ÈÁ¤µµ¿¡ µû¶ó Á¤È®µµ°¡ ¶³¾îÁú ¼ö ÀÖ´Ù. µû¶ó¼ ½ÇÁ¦·Î Á¦ÀÛµÈ ±â°è¸¦ ´ë»óÀ¸·Î ½ÃÇèÀ» ÅëÇØ µ¥ÀÌÅ͸¦ ¾òÀº ÈÄ ÀÌ °ªÀ» ±âÃÊ·Î À¯»çÇÑ ±â°èÀÇ k°ªÀ» ±¸ÇÏ¸é ºñ±³Àû º¹ÀâÇÑ °è»êÀ» ÅëÇÏÁö ¾Ê°í Àü¾Ð°Çϸ¦ ±¸ÇÒ ¼ö ÀÖ´Ù.
<Energy News>
http://www.energy.co.kr
|