| [µ¶ÀÚÄ®·³]Àü±â±â±â ¼³°è-Á÷·ù±â¿Í º¯¾Ð±â ¼³°è¸¦ Áß½ÉÀ¸·Î¨ë | |
| 2018-07-01 | |
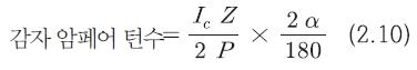
![]() Àü±â±â±â ¼³°è -Á÷·ù¿Í º¯¾Ð±â ¼³°è¸¦ Áß½ÉÀ¸·Î ÀϺ»ÀÇ ´ÙÄ«ÇϽÃ(ÍÔÎéãôìÑ) ¹Ú»çÀÇ Àú¼¸¦ Æí¿ªÇÑ ¹èÁø¿ë °øÇÐ¹Ú»ç °â º¯¸®»çÀÇ ´Ù¼¸ ¹øÂ° ¿¬À縦 À̾´Ù. Áö³ È£ºÎÅÍ ‘Á÷·ù±âÀÇ ¼³°è’¿¡ °üÇÑ Ã©Å͵éÀ» °ÔÀçÇϰí ÀÖ´Ù. Á÷·ù±â´Â Åëdz±¸ÀÇ À¯¹«¿Í Åëdz¹æ½Ä, º¸È£¹æ½Ä µî¿¡ µû¶ó ÇüŸ¦ ´Þ¸®ÇÏ¸ç ´Ù¾çÇÑ Á¾·ù·Î ³ª´¶´Ù. ¶Ç, Á÷·ù±â´Â Àü±âÀÚ¿¡¼ ¹ß»ýÇÑ Àü¾ÐÀÌ ±³·ùÀ̹ǷΠÀ̸¦ Á÷·ù·Î ¹Ù²Ù±â À§ÇÑ Á¤·ùÀÚ¸¦ ÇÊ¿ä·Î Çϴµ¥, Àü±âÀÚ ÄÚÀÏÀº Á¤·ùÀÚÆí¿¡ Á¢¼ÓµÇ´Â °ÍÀ¸·Î ö½É °¨´Â ¹æ¹ý°ú Àü±âÀÚ ±Ç¼±ÀÇ »ðÀÔ ¹æ¹ý µî¿¡ µû¶ó Á¾·ù°¡ ³ª´µ¸ç, Á÷·ù±â ±Ç¼±Àº Á߱ǰú ÆÄ±ÇÀ¸·Î ±¸ºÐµÈ´Ù. Áö³ È£¿¡ °ÔÀçÇÑ 2ÀåÀÇ ¾ÆÈ© ¹øÂ° ÀýÀÎ ‘±Ç¼±ÀÇ ¼³°è’ Æí¿¡ À̾î À̹ø È£¿¡¼´Â ‘À¯µµ ±âÀü·Â’ ÆíÀ¸·Î À̾îÁø´Ù. ![]() 2.10 À¯µµ ±âÀü·Â ±Ø¼ö ΡÀÇ Àü±âÀÚ ±Ç¼±¿¡¼ Àü±âÀÚ µµÃ¼°¡ ²÷´Â ¸Å±ØÀÇ ÀÚ¼Ó¼ö Φ, Àü±âÀÚ È¸·Î¼ö a, Àü±âÀÚ µµÃ¼¼ö Z, ¸ÅºÐ ȸÀü¼ö nÀ̶ó Çϸé 1°³ÀÇ µµÃ¼´Â ȸÀüÇÒ ¶§¸¶´Ù Φ×PÀÇ ÀÚ¼ÓÀ» ÀÚ¸£¸ç, 1ºÐ µ¿¾È¿¡´Â Φ×P×n¸¸Å ÀÚ¸£°í, 1ÃÊ µ¿¾È¿¡´Â Φ×P×n/60¸¸Å ÀÚ¸¥´Ù. Àü±âÀÚÀÇ ºê·¯½Ã »çÀÌÀÇ µµÃ¼¼ö´Â Z/nÀ̹ǷΠ´ÜÀÚ¿¡¼ À¯±âµÇ´Â ±âÀü·ÂÀ» E¶ó Çϸé, ½Ä (1.2)¸¦ ¹ÙÅÁÀ¸·Î ¾Æ·¡¿Í °°Àº ½ÄÀ¸·Î ³ªÅ¸³¾ ¼ö ÀÖ´Ù. ![]() ÀÌ ½ÄÀ» Á¤¸®ÇÏ¸é ½Ä (2.9)¿Í °°ÀÌ ³ªÅ¸³¾ ¼ö ÀÖ´Ù. ![]() ½Ä (2.9)´Â Àü±âÀÚ¿¡ ÀÖ¾î¼ À¯±âµÇ´Â ±âÀü·ÂÀ» ³ªÅ¸³»¸ç, º´·Ä ȸ·Î¼ö a´Â Á߱ǿ¡¼´Â a=p, ÆÄ±Ç¿¡¼´Â a=2°¡ µÈ´Ù. 2.11 Àü±âÀÚ ¹ÝÀÛ¿ë Á÷·ù±â¿¡¼ Àü±âÀÚ µµÃ¼¿¡ Àü·ù°¡ È帣¸é ºê·¯½Ã¿¡ ÀÇÇØ Àü·ùÀÇ ¹æÇâÀÌ ÀÏÁ¤ÇÏ°Ô µÇ¸ç, Àü±âÀÚ´Â Á÷·ù Àü·ù·Î ¿©ÀڵǹǷΠÀüÀÚ¼®À¸·Î µ¿ÀÛÇÏ°Ô µÈ´Ù. ÀÌ·Î ÀÎÇÏ¿© Àڱؿ¡¼ ¹ß»ýµÈ ÀÚ¼ÓÀÇ °æ·Î°¡ º¯ÇÏ°Ô µÇ¾î ¿©·¯ ¹®Á¦¸¦ ÀÏÀ¸Å°°Ô µÈ´Ù. ÀÌ¿Í °°ÀÌ Àü±âÀÚ Àü·ù¿¡ ÀÇÇØ ÀÚ±ØÀÇ Áß½ÉÀÌ À̵¿ÇÏ´Â Çö»óÀ» Àü±âÀÚ ¹ÝÀÛ¿ëÀ̶ó Çϸç, [±×¸² 2.26~2.28]Àº ¹ßÀü±â¿¡¼ Àü±âÀÚ ¹ÝÀÛ¿ë Çö»óÀ» ³ªÅ¸³½´Ù. ![]() [±×¸² 2.26]Àº Àü±âÀÚ Àü·ù¿¡ ÀÇÇÑ ÀÚ°è°¡ ¾øÀ» ¶§, Àڱؿ¡ ÀÇÇÑ Àڰ踸À» ³ªÅ¸³½´Ù. [±×¸² 2.27]Àº Àڱؿ¡ ÀÇÇÑ ÀÚ°è°¡ ¾øÀ» ¶§, Àü±âÀÚ Àü·ù¿¡ ÀÇÇÑ Àڰ踦 °í·ÁÇÑ ÀÚ¼ÓÀÇ ºÐÆ÷¸¦ ³ªÅ¸³½´Ù. [±×¸² 2.28]Àº Àڱؿ¡ ÀÇÇÑ ÀÚ¼Ó°ú Àü±âÀÚ Àü·ù¿¡ ÀÇÇÑ ÀÚ¼ÓÀÌ ÇÕ¼ºµÈ °æ¿ì¸¦ ³ªÅ¸³»¸ç, Àü±âÀÚ ¹ÝÀÛ¿ë¿¡ ÀÇÇØ ÀÚ¼ÓÀÇ °æ·Î°¡ º¯ÇÏ°Ô µÇ°í, Àڱظ鿡 ÀÖ¾î¼ Àڼӹеµ°¡ º¯ÇÏ°Ô µÊÀ» ¾Ë ¼ö ÀÖ´Ù. [±×¸² 2.28]¿¡¼ ÀÚ¼ÓÀÌ Àü±âÀÚ¸¦ ºñ½ºµëÈ÷ Åë°úÇÔ¿¡ µû¶ó ÀÚ±ØÀÇ aÁ¡Àº bÁ¡º¸´Ù Àڼӹеµ°¡ ³ôÀ¸¸ç, ÀÚ±ØÀÇ cÁ¡Àº dÁ¡º¸´Ù Àڼӹеµ°¡ ³ô¾ÆÁø´Ù. ±× ÀÌÀ¯´Â Àü±âÀÚ ¹ÝÀÛ¿ëÀ¸·Î ÀÎÇÏ¿© [±×¸² 2.28]ÀÇ a, cÁ¡¿¡¼´Â ÀÚ¼ÓÀÌ Áõ°¡ÇÏ°Ô µÇ¸ç, b¿Í d Á¡¿¡¼´Â ÀÚ¼ÓÀÌ °¨¼ÒµÇ±â ¶§¹®ÀÌ´Ù. ºê·¯½Ã´Â ÀÚ±Ø »çÀÌÀÇ Áß½ÉÁ¡¿¡ ÀÖÀ» ¶§ ¾ÆÅ©°¡ ¹ß»ýÇÏÁö ¾ÊÀ¸¸ç ¾çÈ£ÇÑ Á¤·ù»óŸ¦ À¯ÁöÇÒ ¼ö ÀÖÀ¸³ª, [±×¸² 2.28]°ú °°ÀÌ Àü±âÀÚ ¹ÝÀÛ¿ëÀ¸·Î ÀÎÇØ ÀÚ¼ÓÀÇ ºÐÆ÷°¡ º¯ÇÏ´Â °æ¿ì ÀÚ±ØÀÇ Áß¼ºÁ¡ÀÌ À̵¿ÇÏ°Ô µÇ¹Ç·Î ºê·¯½Ã¸¦ b ¹× dÁ¡À¸·Î À̵¿½Ãų Çʿ䰡 ÀÖ´Ù. ¹ßÀü±âÀÇ °æ¿ì ºê·¯½Ã¸¦ ȸÀüÇÏ´Â ¹æÇâÀ¸·Î, Àüµ¿±âÀÇ °æ¿ì ȸÀü¹æÇâ°ú ¹Ý´ë¹æÇâÀ¸·Î ÀÚ¼ÓÀÇ Áß½ÉÁ¡ÀÌ À̵¿ÇÑ ¸¸Å À̵¿½ÃŲ´Ù. [±×¸² 2.29]¿¡ ³ªÅ¸³½ ¹Ù¿Í °°ÀÌ ºê·¯½Ã¸¦ CÀÇ À§Ä¡¿¡¼ AÀÇ À§Ä¡·Î À̵¿½Ã۸é ∠AOB ¹× ∠A′OB′»çÀÌ¿¡ ÀÖ´Â µµÃ¼´Â ÁÖ ÀÚ±ØÀ» ¾àȽÃŰ´Â ÀÛ¿ë, Áï °¨ÀÚÀÛ¿ë(Êõí¸íÂéÄ)À» ÇÏ¿© Àü¾Ð°Çϸ¦ ÀÏÀ¸Å²´Ù. ∠AOC=a, Ic ¸¦ µµÃ¼¸¦ È帣´Â Àü·ù, Z¸¦ Àü±âÀÚ µµÃ¼¼ö¶ó Çϸé, ºê·¯½Ã À̵¿¿¡ µû¸¥ °¨ÀÚÀÛ¿ëÀÇ ¸Å ÀÚ±Ø ¾ÏÆä¾î Åϼö(°¨ÀÚ ±âÀÚ·Â)´Â ½Ä (2.10)À¸·Î ³ªÅ¸³¾ ¼ö ÀÖ´Ù. ![]() ¶ÇÇÑ ∠AOB′ ¹× ∠A′OB′B »çÀÌ¿¡ ÀÖ´Â µµÃ¼´Â ±³Â÷ ÀÚÈ ÀÛ¿ëÀ» ÇÑ´Ù. ÀÌ·Î ÀÎÇØ [±×¸² 2.28]°ú °°ÀÌ ¾ç Àڱشܿ¡ ÀÖ¾î¼ Àڼӹеµ°¡ º¯ÇÏ°Ô µÈ´Ù. ±³Â÷ ÀÚÈ ÀÛ¿ëÀÇ ¸Å ÀÚ±Ø ¾ÏÆä¾î Åϼö(±³Â÷ ±âÀÚ·Â)´Â ½Ä(2.11)·Î ³ªÅ¸³¾ ¼ö ÀÖ´Ù. ![]() ¿ë·®ÀÌ Å« Á÷·ù±âÀÇ °æ¿ì º¸±ØÀ» ¼³Ä¡Çϸç, º¸±ØÀº Àü±âÀÚ ±Ç¼±¿¡¼ Á¤·ù½Ã ´Ü¶ôµÇ´Â ÄÚÀÏÀÇ ÀδöÅϽº¿¡ ÀÇÇØ À¯µµµÇ´Â ±âÀü·ÂÀ» ¾ø¾ÚÀ¸·Î½á Á¤·ù¸¦ ¾çÈ£ÇÏ°Ô ÇÑ´Ù. º¸±ØÀ» ¼³Ä¡ÇÑ ±â±âÀÇ °æ¿ì ºê·¯½ÃÀÇ À̵¿Àº ºÒÇÊ¿äÇÏ°Ô µÈ´Ù. º¸±ØÀÌ ¼³Ä¡µÇ¾î À־ Àü±âÀÚ ¹ÝÀÛ¿ëÀÌ ¹ß»ýÇϰí, º¸±ØÀÇ ¿ªÇÒÀº Àü±âÀÚ ¹ÝÀÛ¿ëÀ» ¾ø¾Ö±â À§ÇÑ °ÍÀÌ ¾Æ´Ï¹Ç·Î Àü±âÀÚ ¹ÝÀÛ¿ëÀ» ¿ÏÀüÈ÷ ¾ø¾Ö±â À§Çؼ´Â º¸»ó±Ç¼±À» Àڱظ鿡 ºÐÆ÷Çϵµ·Ï ¼³Ä¡ÇÑ´Ù. 2.12 Àü±âÀÚ Á÷°æ°ú ±æÀÌ Á÷·ù±âÀÇ ¼³°è½Ã Àü±âÀÚÀÇ Á÷°æÀ» °áÁ¤ÇÏ´Â °ÍÀ» ÃÖ¿ì¼±À¸·Î ÇÑ´Ù. Áï Àü±âÀÚÀÇ Á÷°æÀÌ °áÁ¤µÇ¸é ´Ù¸¥ °è»êÀº ÀÌ¿Í ¿¬°üµÇ¾î ¼øÂ÷ÀûÀ¸·Î ÀÌ·ç¾îÁø´Ù. Àü±âÀÚÀÇ Á÷°æÀº ´ëü·Î Á¤°ÝÃâ·Â°ú Á¤°Ý ȸÀü¼ö¿¡ µû¶ó °áÁ¤µÈ´Ù. Á¤°ÝÃâ·ÂÀ̶õ ±× ±â°è¿¡ ´ëÇØ ÁöÁ¤µÈ Á¶°Ç¿¡¼ º¸ÁõµÈ »ç¿ëÇѵµ¸¦ ³ªÅ¸³½´Ù. ÁöÁ¤Á¶°ÇÀº Á¤°ÝÃâ·ÂÀ» ¹ß»ýÇϱâ À§ÇÑ È¸Àü¼ö, Àü¾ÐÀ» ÀǹÌÇϸç À̸¦ Á¤°Ý ȸÀü¼ö, Á¤°ÝÀü¾ÐÀ̶ó ÇÑ´Ù. ÀÌ¿Í °°Àº Á¤°Ý»çÇ×Àº Àüµ¿±â ¿ÜºÎÀÇ ¸íÆÇ¿¡ ±âÀçµÇ¾î ±â°è¿¡ ºÎÂøµÈ´Ù. Àü±âÀÚÀÇ Á÷°æ °áÁ¤¿¡ °üÇØ ´Ù¾çÇÑ ÀÌ·ÐÀÌ Á¦½ÃµÇ¾úÀ¸³ª ¿©±â¿¡¼´Â ¾Æ³îµå(Arnold)ÀÇ ¹æ¹ý°ú ´Ù³ª±î(ï£ñééÌÜý)ÀÇ ¹æ¹ýÀ» Áß½ÉÀ¸·Î ¼Ò°³ÇÑ´Ù. ¾Æ³îµåÀÇ ¹æ¹ý¿¡¼´Â ½Ä (2.12)¸¦ ÀÌ¿ëÇÏ¿© Àü±âÀÚ Á÷°æÀ» °áÁ¤ÇÑ´Ù. ![]() ½Ä (2.12)´Â Á÷·ù±â¿¡ ÀÖ¾î¼ Ãâ·Â°ú Ä¡¼ö¿ÍÀÇ °ü°è¸¦ ³ªÅ¸³»¸ç, ¿©±â¼ °¢°¢ÀÇ ±âÈ£°¡ ³ªÅ¸³»´Â ¹Ù´Â ´ÙÀ½ °ú °°´Ù. ![]() ½Ä (2.12)¿¡¼ ¿ìº¯ÀÇ Bg ¹× q´Â kWÀÇ °ª¿¡ µû¶ó º¯Çϸç, Φ´Â Á¤¼ö·Î °¡Á¤ÇÒ ¼ö ÀÖ´Ù. µû¶ó¼ D2Lcn/kW¿Í kWÀÇ °ü°è´Â °î¼±À¸·Î ³ªÅ¸³¾ ¼ö ÀÖÀ¸¸ç ÀÌ °î¼±À¸·ÎºÎÅÍ ÁÖ¾îÁø kW¿¡ ´ëÇÑ D2Lc¸¦ ±¸ÇÒ ¼ö ÀÖ´Ù. ¶ÇÇÑ D¿Í Lc»çÀÌ¿¡´Â Àû´çÇÑ ºñ(Ýï)°¡ ÀÖÀ¸¹Ç·Î D2Lc·ÎºÎÅÍ DÀÇ °ªÀ» ±¸ÇÒ ¼ö ÀÖ´Ù. ´Ù³ª±îÀÇ ¹æ¹ý¿¡¼´Â ½Ä (2.12)¿¡¼ BgΦq/D=K(ÀÏÁ¤)·Î Çϸç, ±× °á°ú ½Ä (2.12)Àº ½Ä (2.13)À¸·Î µÈ´Ù. ![]() ¿©±â¼MC=kW/(n/60)À̸ç, T´Â ±â°èÀÇ Á¾·ù¿¡ µû¶ó ´ëü·Î ÀÏÁ¤Çϸç, Á÷·ù±âÀÇ °æ¿ì 5~15 Á¤µµÀÌ´Ù. µû¶ó¼ ÁÖ¾îÁø kW¿¡ ´ëÇØ D3Lc¸¦ ±¸ÇÒ ¼ö ÀÖ´Ù. ÀÌ ¹æ¹ý¿¡ À־µ Lc/DÀÇ ÃÖ´ëÄ¡´Â ´ëü·Î ÀÏÁ¤ÇϹǷΠD¸¦ °áÁ¤ÇÒ ¼ö ÀÖ´Ù. ´Ù³ª±îÀÇ ¹æ¹ý¿¡ ÀÖ¾î¼ Lc=cD ¶ÇÇÑ MC=60kW/nÀ¸·Î ÇÏ¸é ´ÙÀ½°ú °°Àº ½ÄÀ» ¾òÀ» ¼ö ÀÖ´Ù. ![]() ´Ü, k=60T×105/c·Î Á¤¼öÀÌ´Ù. ½Ä (2.14)·ÎºÎÅÍ 4 log D=logk+log[kW/n]À̹ǷÎ, µû¶ó¼ D¿Í [kW/n]À» ¾çÃàÀ¸·Î ÇÏ¿© ´ë¼ö´«±ÝÀ¸·Î ³ªÅ¸³»¸é Á÷¼±ÀÌ µÈ´Ù. ±×·¯³ª c, TÀÇ °ªµµ ¾î´À Á¤µµ º¯ÇϹǷΠ½ÇÁ¦¿¡¼´Â Á÷¼±¿¡ °¡±î¿î °î¼±ÀÌ µÈ´Ù. ÀÌ¿Í °°Àº ¹æ¹ýÀ¸·Î Á÷°æÀ» ±¸ÇÑ °á°ú´Â ¸³½¬Ã÷(Liwshitz)ÀÇ ¹æ¹ý°ú ÀÏÄ¡ÇÏ°Ô µÈ´Ù. º»¼¿¡¼´Â ´ë¼ö´«±ÝÀÇ ±×·¡ÇÁ·Î À̸¦ ³ªÅ¸³»¾úÀ¸¸ç [±×¸² 2.30]Àº Á÷°æÀ» ±¸Çϱâ À§ÇÑ ¸³½¬Ã÷ °î¼±À» ³ªÅ¸³½´Ù. [±×¸² 2.30]¿¡¼ °î¼±À» °í¼Ó(H), Áß¼Ó(M), Àú¼Ó(L)À¸·Î ºÐ·ùÇÑ °ÍÀº ¼Óµµ¿¡ µû¶ó ³Ã°¢»óŰ¡ ´Ù¸£°Ô µÇ¸ç ±×¿¡ µû¶ó Á÷°æÀÇ Â÷À̰¡ Àֱ⠶§¹®ÀÌ´Ù. ¶ÇÇÑ, ÀÌ °î¼±Àº °³¹æÇü¿¡ ÇØ´çÇϸç ÀüÆóÇüÀÇ °æ¿ì ÀÌ °î¼±¿¡¼ ³ªÅ¸³»´Â °ªº¸´Ù ´Ù¼Ò Å©°Ô ¼³°èÇÑ´Ù. ¼Óµµ¿¡ ÀÖ¾î¼ °í¼Ó, Áß¼Ó, Àú¼ÓÀÇ ±âÁØÀÌ Á¤ÇØÁ® ÀÖÁö´Â ¾ÊÀ¸³ª ´ëü·Î [±×¸² 2.31]¿¡ ³ªÅ¸³½ ¹üÀ§¸¦ ±âÁØÀ¸·Î ÇÑ´Ù. °í¼ÓÀÇ Á÷·ù±â(ƯÈ÷ ÅÍºó¿¡ Á÷°áµÈ Á÷·ù¹ßÀü±â µî)¿¡ À־ [±×¸² 2.30]ÀÇ °î¼±À¸·ÎºÎÅÍ Á÷°æÀ» °áÁ¤Çϱ⠺¸´Ù´Â ¿ÀÈ÷·Á ÁÖº¯¼ÓµµÀÇ Çã¿ëÄ¡¿¡ µû¶ó Á÷°æÀ» °áÁ¤ÇÏ°Ô µÈ´Ù. Åͺó ¹ßÀü±â¿¡¼´Â Ưº°ÇÑ ±¸Á¶¸¦ ÇÔÀ¸·Î½á ÁÖº¯¼Óµµ¸¦ ÃÖ°í 110m/s±îÁö ¾òÀ» ¼ö ÀÖ´Ù. Lc/DÀÇ ºñ°¡ ´ëü·Î °áÁ¤µÇ¾î ÀÖÀ¸¹Ç·Î Á÷°æÀÌ °áÁ¤µÇ¸é LcÀÇ °ªÀ» ±¸ÇÒ ¼ö ÀÖ´Ù. Lc/D´Â ÀûÀýÇÑ °ªÀ¸·Î ¼³°èµÇ¾î¾ß Çϸç, Lc/D °ªÀÌ ÀûÁ¤Ä¡ º¸´Ù ÀÛÀº °æ¿ì Àü±âÀÚÀÇ Á÷°æÀÌ Ä¿Áö°Ô µÇ°í, Lc/D °ªÀÌ ÀûÁ¤Ä¡ º¸´Ù Å« °æ¿ì Àü±âÀÚÀÇ ±æÀ̰¡ ±æ°Ô µÇ¾î ¿Âµµ°¡ »ó½ÂµÇ´Â ¹®Á¦Á¡ÀÌ ¹ß»ýÇÑ´Ù. º¸ÅëÀÇ °æ¿ì °ªÀº ½Ä (2.15)ÀÇ ¹üÀ§¿¡¼ °áÁ¤µÈ´Ù. ![]() ![]() ![]() 2.13 ±Ø¼öÀÇ °áÁ¤ Á÷·ù±â¿¡¼ ±Ø¼ö´Â ȸÀü¼ö¿Í Àü·ù¿¡ µû¶ó °áÁ¤ÇÑ´Ù. Ãâ·Â(kW)°ú ȸÀü¼ö(n)°¡ ÁÖ¾îÁö¸é Àü±âÀÚ Á÷°æÀÌ °áÁ¤µÇ¸ç, Àü·ù´Â Ãâ·Â¿¡ »óÀÀÇ쵂 Çö°ÝÇÑ Â÷À̰¡ ³ªÁö ¾Ê´Â ÇÑ ±Ø¼ö´Â [±×¸² 2.32]ÀÇ °ü°è¸¦ °í·ÁÇÏ¿© °áÁ¤ÇÑ´Ù. [±×¸² 2.32]¿¡¼ µÎ Á¾·ùÀÇ ±Ø¼ö¸¦ »ç¿ëÇÑ ºÎºÐÀÌ ÀÖÀ¸³ª °¢°¢ÀÇ ±Ø¼ö¸¦ ÀÌ¿ëÇÏ¿© ¼³°è Çϸé ȸÀü¼ö, Àü·ù µîÀÇ °ü°è¿¡ ÀÖ¾î¼ °æÁ¦ÀûÀÎ Â÷À̸¦ ³ªÅ¸³»°Ô µÈ´Ù. 2.14 ¸Å±Ø ÀÚ¼Ó¼öÀÇ °áÁ¤ Àü±âÀÚ¸¦ Åë°úÇÏ´Â ¸Å±Ø ÀÚ¼Ó¼ö´Â Á÷·ù±âÀÇ Ãâ·Â(kW) ¹× ȸÀü¼ö(n)¿¡ µû¶ó º¯ÇÏ°Ô µÈ´Ù. ¸Å±Ø ÀÚ¼Ó¼ö¸¦ °áÁ¤ÇÏ´Â ¼³°è ¹æ¹ý¿¡ ´ëÇØ ´Ù³ª±î¿Í ´ÙÄÉ¿ìÄ¡(ñÓÒ®?÷¼?)°¡ ¹ßÇ¥ÇÏ¿´À¸³ª, [±×¸² 2.33]¿¡ ³ªÅ¸³½ ¹Ù¿Í °°ÀÌ ¿Í ÀÇ °ü°è´Â ´ë¼ö´«±Ý»ó¿¡¼ Á÷¼±À¸·Î µÈ´Ù. [±×¸² 2.33]¿¡¼ ÀϹÝÀûÀÎ Á÷·ù±âÀÇ ÀÚ¼Ó¼ö´Â µÎ Á÷¼± »çÀÌ¿¡ ÀÖ°Ô µÇ¸ç Ưº°ÇÑ Æ¯¼ºÀ» Áö´Ï´Â °æ¿ì ±× ¹üÀ§¸¦ ¹þ¾î³ª°Ô µÈ´Ù. ![]() 2.15 µµÃ¼¼öÀÇ °áÁ¤ µµÃ¼¼ö¸¦ °áÁ¤Çϱâ À§Çؼ´Â ±Ç¼±ÀÇ ÇüÅÂ, Áï ÆÄ±Ç È¤Àº Áß±ÇÀ¸·Î ÇÒ °ÍÀÎÁö ¸ÕÀú °áÁ¤ÇÏ¿©¾ß ÇÑ´Ù. ÀϹÝÀûÀ¸·Î ÆÄ±ÇÀÇ °æ¿ì ¼Ò¿ë·®, Áß±ÇÀÇ °æ¿ì ´ë¿ë·® Ãâ·Â¿¡ »ç¿ëµÈ´Ù. ±×·¯³ª ÆÄ±ÇÀ̳ª Áß±ÇÀ» ¼±ÅÃÇÒ ¶§ Ãâ·Â¸¸À» °í·ÁÇÏ´Â °ÍÀº ÇѰ谡 ÀÖÀ¸¸ç, Ãâ·Â À̿ܿ¡ Àü·ù¿Í ¼Óµµµµ Áß¿äÇÑ ¿äÀÎÀ¸·Î ÀÛ¿ëÇÏ°Ô µÈ´Ù. Á¦Á¶ÀÚ¿¡ µû¶ó ±× ÇѰ迡´Â Â÷À̰¡ ÀÖÀ¸³ª ÀϹÝÀûÀ¸·Î 220VÀÇ ±â°è¿¡¼ 100kWÀÌ»óÀÌ µÇ´Â °æ¿ì Áß±ÇÀ¸·Î Çϸç, ¼ö 10kWÀÌÇÏ¿¡¼´Â ÆÄ±ÇÀ» ÇÑ´Ù. ±×·¯³ª ´ëÀü·ù ¹ßÀü±âÀÇ °æ¿ì ¼Ò¿ë·®À̶ó ÇÏ¿©µµ Áß±ÇÀ» ÇÑ´Ù. µµÃ¼¼ö¸¦ ±¸Çϱâ À§Çؼ´Â ¸Å±Ø ½½·Ô¼ö¸¦ ¾ó¸¶·Î ÇÒ °ÍÀÎÁö, ¶ÇÇÑ ¸Å ½½·Ô´ç µµÃ¼ ¼ö¸¦ ¾ó¸¶·Î ÇÒ °ÍÀÎÁö¸¦ °áÁ¤ÇÏ¿©¾ß ÇÑ´Ù. Á÷·ù±â¿¡¼ ½½·Ô¼ö°¡ ³Ê¹« ÀûÀº °æ¿ì Á¤·ù»óŰ¡ ¾ÇȵǹǷΠ½½·Ô¼ö ¼³Á¤¿¡ ÀÖ¾î¼ ÇѰ谡 ÀÖ´Ù. ÀϹÝÀûÀ¸·Î ´ÙÀ½°ú °°Àº ½½·Ô¼ö°¡ ¹Ù¶÷Á÷ÇÑ °ÍÀ¸·Î »ý°¢µÈ´Ù. ![]() ¼ÒÇü °æ·®È¸¦ À§ÇØ 1kW ÀÌÇÏÀÇ ¼Ò¿ë·® Á÷·ù±â¿¡¼´Â ¸Å±Ø ½½·Ô¼ö¸¦ ¸Å¿ì Àû°Ô ÇÏ´Â µ¥, ÀÌ °æ¿ì ¾ÆÅ©°¡ ¹ß»ýÇÏÁö¸¸ »ç¿ë¿¡´Â ÁöÀåÀ» ÃÊ·¡ÇÏÁö´Â ¾Ê´Â´Ù. ¸Å ½½·Ô´ç µµÃ¼¼öµµ Á¤·ù»óÅÂ¿Í °ü°è°¡ ÀÖÁö¸¸, ƯÈ÷ ¿Âµµ»ó½Â¿¡ Á¦ÇÑÀ» ¹Þ´Â´Ù. 1°³ÀÇ µµÃ¼¸¦ È帣´Â Àü·ù Ic´Â ´ÙÀ½°ú °°ÀÌ Á¦ÇÑÀ» ¹Þ´Â´Ù. ![]() Áï Ic׸н½·Ô´ç µµÃ¼¼ö≤900A°¡ µÇµµ·Ï ¼³°èÇÑ´Ù. ¼Ò¿ë·® ±â°è¿¡¼ ÄÚÀÏ ÇϳªÀÇ Åϼö ¿ª½Ã Á¦ÇÑÀÌ ÀÖÀ¸³ª ÈÄ¿¡ ±â¼úÇÒ ¸®¾×ÅϽº Àü¾Ð¿¡ ÀÇÇØ Á¦ÇÑÀ» ¹Þ°Ô µÈ´Ù. Àü±âÀÚ µµÃ¼¼ö Z´Â À¯µµ±âÀü·Â E¸¦ ³ªÅ¸³»´Â ½Ä (2.9)·Î ºÎÅÍ ±¸ÇÒ ¼ö ÀÖÀ¸¸ç, ½Ä (2.16)°ú °°ÀÌ ³ªÅ¸³¾ ¼ö ÀÖ´Ù. ![]() ½Ä (2.16)¿¡´Â ½Ä (2.9)¿¡ ¾ø´Â Á¤¼ö K°¡ Æ÷ÇԵǴµ¥ ÀÌ´Â À¯µµ±âÀü·ÂÀ» º¸»óÇÏ´Â Á¤¼öÀÌ´Ù. Áï Àü±âÀÚ, ºê·¯½Ã ¹× Àü±âÀÚ ¹ÝÀÛ¿ë µî¿¡ ÀÇÇÑ Àü¾Ð°ÇÏ·Î ÀÎÇØ ¹ßÀü±âÀÇ °æ¿ì À¯µµ±âÀü·ÂÀº ´ÜÀÚÀü¾Ðº¸´Ù ´Ù¼Ò ³ô°Ô µÇ¹Ç·Î K=1.07~1.10 Á¤µµ·Î ¼³Á¤Çϸç, Àüµ¿±âÀÇ °æ¿ì À¯µµ±âÀü·ÂÀÌ ´ÜÀÚÀü¾Ðº¸´Ù ´Ù¼Ò ³·°Ô µÇ¹Ç·Î K=0.91~0.93 Á¤µµ·Î ¼³Á¤ÇÑ´Ù. ½Ä (2.16)¿¡¼ E, nÀº ÁÖ¾îÁö¸ç, k´Â Á¤¼ö, Φ´Â [±×¸²2.33], P´Â [±×¸² 2.32]¿¡¼ ±¸ÇÒ ¼ö ÀÖ´Ù. a´Â ±Ç¼±ÀÇ Á¾·ù¿¡ µû¶ó Á¤ÇØÁö´Â ¼öÀ̹ǷΠÀü±âÀÚ µµÃ¼¼ö Z¸¦ ±¸ÇÒ ¼ö ÀÖ´Ù. ÀÌ¿Í °°ÀÌ ÇÏ¿© ¾òÀº Àü±âÀÚ µµÃ¼¼ö Z°¡ ±Ç¼±Çϱâ Àû´çÇÑ °æ¿ì °è»ê°úÁ¤À» ±×´ë·Î ÁøÇàÇÏ¸é µÇÁö¸¸, ±×·¸Áö ¾ÊÀ» °æ¿ì ΦÀÇ °ªÀ» ´Ù¼Ò º¯°æÇÏ¿© Àü±âÀÚ µµÃ¼¼ö Z¸¦ ±Ç¼±Çϱâ Àû´çÇÑ °ªÀ¸·Î Á¶Á¤ÇÏ¿©¾ß ÇÑ´Ù. 2.16 Àü±âÀÚ µµÃ¼ÀÇ ´Ü¸é Ä¡¼ö Àü±âÀÚ µµÃ¼ÀÇ ´Ü¸é Ä¡¼ö¸¦ °áÁ¤ÇÏ·Á¸é Àü·ù¹Ðµµ¸¦ Àû´çÈ÷ ¼±Á¤ÇÏ¿©¾ß ÇÑ´Ù. Àü·ù¹Ðµµ´Â Ãâ·Â, Åëdz¹æ½Ä, ȸÀü¼ö µî¿¡ ÀÖ¾î¼ ´Ù¼ÒÀÇ Â÷ÀÌ´Â ÀÖÀ¸³ª ÀϹÝÀûÀ¸·Î 4~6A/§± Á¤µµ·Î ¼±Á¤ÇÑ´Ù. ´Ü½Ã°£ Á¤°Ý(ÓãÁÊà ïÒÌ«)¿¡¼´Â À̺¸´Ù ³ôÀº °ªÀ» ÃëÇÑ´Ù. µµÃ¼ÀÇ ´Ü¸éÀÌ Å« °æ¿ì ÁÖ·Î Æò°¢¼±(øÁÊÇàÊ)À» »ç¿ëÇϸç, ´Ü¸é¿¡ µû¸¥ Æò°¢¼±ÀÇ »ç¿ë¹üÀ§´Â Á¦Á¶»ç¿¡ µû¶ó ´Ù¸£´Ù. ±×·¯³ª ÀϹÝÀûÀ¸·Î ´Ü¸éÀûÀÌ 10§± ÀÌ»óÀÌ µÇ´Â °æ¿ì Æò°¢¼±ÀÌ ÁÖ·Î »ç¿ëµÈ´Ù. ´Ü¸éÀûÀÌ Å« °æ¿ì 2~3°¡´ÚÀ» º´·Ä·Î ÇÏ¿© ÄÚÀÏÀ» ¸¸µé°Å³ª ȯ¼±(ü¯àÊ)À» »ç¿ëÇÒ ¼ö ÀÖ´Ù. ±×·¯³ª Æò°¢¼±À» »ç¿ëÇÏ´Â °ÍÀÌ È¯¼±À» »ç¿ëÇÏ´Â °Íº¸´Ù Á¦ÀÛ»ó ¿ëÀÌÇÑ ÀåÁ¡ÀÌ ÀÖ´Ù. 2.17 µµÃ¼ ¹× ½½·Ô ³»ÀÇ Àý¿¬ AÁ¾ Àý¿¬À¸·Î ÇÏ´Â °æ¿ì ȯ¼±Àº DCC ȤÀº Á¾À̱Ǽ±À» »ç¿ëÇÏ´Â °ÍÀÌ ÀϹÝÀûÀ̸ç, ¼ÒÇü¿¡¼´Â Æ÷¸£¸»¼±À» »ç¿ëÇϰí, ´ëÇü¿¡¼´Â Æò°¢¼±¿¡ Å×ÀÌÇÁ¸¦ Áߺ¹ÇÏ¿© °¨´Â´Ù. [±×¸² 2.34]´Â Å×ÀÌÇÁ ÆøÀ» Àý¹Ý¾¿ °ãÃļ °¨´Â ¹æ½ÄÀ¸·Î À̸¦ ÇÏÇÁ ·¦(half lap)À̶ó ÇÑ´Ù. BÁ¾ Àý¿¬ÀÇ °æ¿ì ȯ¼±Àº À¯¸®¼¶À¯ ȤÀº ¼®¸éÀ» ÇǺ¹ÇÏ¿© »ç¿ëÇϸç, Æò°¢¼±À» »ç¿ëÇÏ´Â °æ¿ì À¯¸®¼¶À¯, ¼®¸é, ¸¶ÀÌÄ« Å×ÀÌÇÁ¸¦ ÇÏÇÁ ·¦(half lap)ÇÏ¿© »ç¿ëÇÑ´Ù. ±â°è°¡ ´ëÇüÀ¸·Î µÇ¸é ½½·ÔÀÇ Àý¿¬¿¡ ¸¶ÀÌÄ«¸¦ »ç¿ëÇÑ´Ù. [±×¸² 2.35], [±×¸²2.36]Àº 250V ÀÌÇÏÀÎ Àú¾Ð¿¡ ´ëÇØ ½½·Ô³» Àý¿¬ÀÇ ¿¹¸¦ ³ªÅ¸³½´Ù. 250VÀÌ»óÀÇ °íÀü¾Ð¿¡¼´Â Àý¿¬ÁöÀÇ ¸Å¼ö¸¦ Áõ°¡½ÃŰÁö¸¸ °í¾Ð ´ë¿ë·® ±â°èÀÎ °æ¿ì ¸¶ÀÌÄ«ÀÇ »ç¿ë·®À» Áõ°¡½ÃŰ´Â °Í¸¸À¸·Î´Â ºÎÁ·Çϸç, [±×¸² 2.37]¿¡ ³ªÅ¸³½ ¹Ù¿Í °°ÀÌ ÇÖ ¾ÆÀ̾î´× ¸Ó½Å(hot-ironing machine)À¸·Î ¹ÐÂø °æÈ½ÃÄÑ ¼ºÃþÇÑ Àý¿¬°ü³»¿¡ µµÃ¼¸¦ ½×´Â ±¸Á¶·Î ÇÑ´Ù. ½½·Ô ³»ºÎÀÇ Àý¿¬Àº [±×¸² 2.35]~[±×¸² 2.37]¿¡ ³ªÅ¸³½ ¹Ù¿Í °°À¸¸ç ÀϹÝÀûÀ¸·Î 250VÀÌÇÏÀÇ Àú¾Ð¿¡¼´Â ½½·Ô ¾çÃø¿¡ 2.2§®, »óÇÏ¿¡ 3.8§®Á¤µµÀÇ °í¾ÐÀ¸·Î, 3000VÁ¤µµ¿¡¼´Â ½½·Ô ¾çÃø¿¡ 4.3§®, »óÇÏ¿¡ 10.8§® Á¤µµÀÇ ½½·ÔÀÇ Àý¿¬Àº ½½·ÔÀÇ Ãⱸ·ÎºÎÅÍ 10~15§®±îÁö ÇÏ°Ô µÇ¸ç, ÀÌ´Â ÀÎÁ¢ÇÑ ½½·Ô¸é »çÀÌ¿¡¼ÀÇ ¹æÀüÀ» ¹æÁöÇϱâ À§ÇؼÀÌ´Ù. Àü±âÀÚ ±Ç¼±¿¡ ¼³Ä¡ÇÏ´Â ±Õ¾Ð¼±Àº Á¤·ùÀÚ ÃøÀ̳ª Á¤·ùÀÚÀÇ ¹Ý´ëÃø ¾îµð¿¡µµ ¼³Ä¡ÇÒ ¼ö ÀÖÀ¸³ª ÀϹÝÀûÀ¸·Î Á¤·ùÀÚÀÇ ¹Ý´ëÃø¿¡ ¼³Ä¡ÇÑ´Ù. [±×¸² 2.38]Àº ÀÌ·¯ÇÑ ±¸Á¶¸¦ ³ªÅ¸³½´Ù. ![]() ![]()
< Energy News > |
|



















